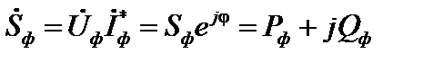
Комплексная мощность фазы генератора
– активная составляющая
– реактивная составляющая
где
– сопряженный комплексный фазный ток
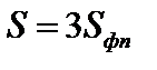
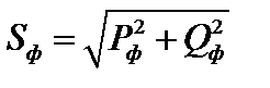
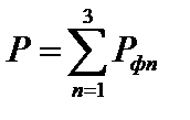
Мощность трехфазного приемника или генератора равна сумме фазных мощностей: 
;
При симметричной нагрузке 
Комплексная мощность фазы генератора
– активная составляющая
– реактивная составляющая
где
– сопряженный комплексный фазный ток
Мощность трехфазного приемника или генератора равна сумме фазных мощностей: 
;
При симметричной нагрузке 
|
|