1) В последовательном RLC-контуре резонанс наступает на частоте W0=1/(LC). Изменится ли частота, если на зажимы конденсатора подключить активное сопротивление R?
Резонанс – явление в электрической цепи (или на ее участке), содержащей индуктивные и емкостные элементы (хотя бы по одному), возникающее в случае, когда реактивное сопротивление или реактивная проводимость этой цепи (или ее участка) равны нулю.
Такой режим цепи при последовательном соединении элементов с R,L,C, когда XL= XC, а напряжения на индуктивном UL и емкостном UC элементах, находящиеся в противофазе, равны по значению и могут превышать напряжение всей цепи, носит название резонанса напряжений.
При этом режиме R=Const, поэтому при заданном условии частота не изменится.
2) Конструктивные элементы и узлы машины постоянного тока. Можно ли для облегчения конструкцию станины выполнить из алюминия?
1 – станина 2 - обмотки главных полюсов 3 - полюсные наконечники 4 – щётки 5 – дополнительные полюса6 – коллектор7 – выводные клеммы якоря8 – якорь9 – рым
|
|
|
Машина постоянного тока состоит из 2 основных частей: 1 – неподвижная часть (станина) и 8 – вращающаяся часть (якорь).
Материалом для изготовления статора (станины) служит литая электротехническая сталь с высокой магнитной проницаемостью. Статор служит для крепления к нему отдельных деталей машины, таких как главные и добавочные полюсы, подшипниковые щиты, щёточное устройство, а также для защиты отдельных узлов машины от механических повреждений, и является частью магнитопровода, по которой замыкается основной магнитный поток, создаваемый главными полюсами. Для облегчения нельзя выполнять из алюминия.
Главный полюс состоит из сердечника с полюсным наконечником и катушек возбуждения, причем на сердечнике могут располагаться несколько катушек возбуждения. Сердечник главного полюса набирают из листов электротехнической стали.
Основными частями якоря являются его сердечник с обмоткой и коллектор, насаженные на вал машины. Сердечник якоря набирают из изолированных листов электротехнической стали.
Коллектор является неотъемлемой частью якоря и представляет собой цилиндрическое тело, набранное из медных клинообразных коллекторных пластин, изолированных друг от друга миканитовыми прокладками.
Щёточное устройство предназначено для осуществления электрического скользящего контакта между вращающимся якорем и внешней электрической цепью. Основными элементами этого устройства являются токопроводящие щётки. Материалом для щёток служит композиция, выполненная на основе графита.
3) Реостатное регулирование частоты вращения асинхронного двигателя. Как изменятся при этом механические характеристики? Достоинства и недостатки метода.
|
|
|
Этот способ регулирования частоты вращения применим только для двигателей с фазным ротором. Регулировочные реостаты включают последовательно с фазными обмотками ротора, т.е. аналогично пусковым реостатам.

В отличие от пусковых регулировочные реостаты рассчитаны на длительный режим работы. При постоянном тормозном моменте на валу двигателя, а следовательно, при постоянном вращающем моменте изменение сопротивления регулировочного реостата приводит к изменению частоты вращения двигателя.
Каждому значению сопротивления Rp соответствует своя механическая характеристика. При M=Const частота вращения двигателя тем меньше, чем больше сопротивление регулировочного реостата. Если Rp=0, то двигатель имеет частоту вращения n2,0, близкую к синхронной частоте n1. Если Rp1>0, то n2,1 < n2,0 итд.
Т.о., регулирование частоты вращения возможно только в сторону ее уменьшения по отношению к синхронной частоте.
Рассматриваемый способ регулирования связан со значительными потерями энергии в регулировочных реостатах и поэтому малоэкономичен. Он применяется главным образом при кратковременной или повторно-кратковременной работе (например, пуско-наладочные работы), а также в приводах с вентиляторным моментом.
К недостаткам реостатного регулирования скорости относятся также мягкость механических характеристик и зависимость диапазона регулирования от величины нагрузки. В частности, регулирование скорости на холостом ходу практически невозможно.
Билет 7
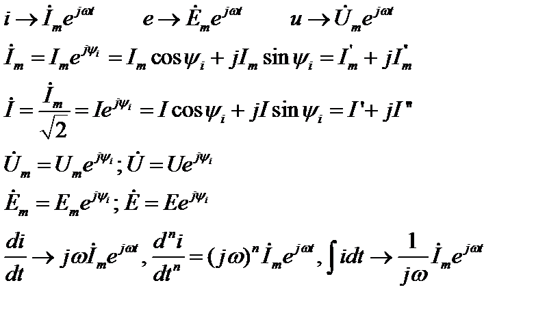
1) В чем сущность комплексного метода расчета? Запишите в комплексной форме сопротивление и проводимости активного сопротивления R, катушки индуктивности L, емкости С.
Комплексный метод расчета электрических цепей синусоидального тока применим только при установившихся режимах работы цепей и основан на использовании преобразований:

Сущность его заключается в том, что, используя указанные преобразования, систему дифференциальных уравнений для действительных функций времени можно заменить системой алгебраических уравнений с комплексными токами, напряжениями и ЭДС. Переход от дифференциальных уравнений к алгебраическим уравнениям с комплексными числами осуществляют заменой в них мгновенных значений тока i, напряжения u и ЭДС е комплексными числами в соответствии с:
,
а производных и интегралов от них – комплексными числами в соответствии с:
.
Замена синусоидальных токов, напряжений и ЭДС соответствующими им комплексными числами позволяет существенно упростить математический анализ процессов в электрических цепях и электротехнических устройствах переменного тока в установившихся режимах.
Комплексное сопротивление ветви – частное от деления комплексного напряжения на концах ветви на комплексную величину протекающего по ней тока:
.Комплексная проводимость:
Сопротивления: 
2) Автотрансформаторы, их достоинства и недостатки. Области применения. Измерительные трансформаторы тока и напряжения. Отличительные их особенности работы.
Автотрансформаторы применяют для преобразования напряжения при передаче электрической энергии. Они отличаются от трансформаторов тем, что у них обмотка НН является частью обмотки ВН. Первичная и вторичная обмотки имеют как магнитную, так и электрическую связь.
Бывают однофазные и трехфазные, повышающие и понижающие.
Потери мощности в стали магнитопровода автотрансформатора такие же, как и у трансформатора. Потери на нагрев обмоток у автотрансформатора меньше, так как обмотка только одна и при этом ток в общих витках мал. Поэтому КПД автотрансформаторов больше, чем обычных трансформаторов.
Недостатки: более тяжелые условия КЗ, так как сопротивление автотрансформаторов меньше, а ток КЗ больше, чем у трансформатора, а также возможность попадания высокого напряжения в сеть низшего напряжения при межвитковом КЗ внутри автотрансформатора.
|
|
|
Трехфазные автотрансформаторы применяют для связи энергосистем, уровни напряжения которых мало отличаются друг от друга (110, 220, 330, 500 кВ). Автотрансформаторы используют также для пуска асинхронных и синхронных электродвигателей. Однофазные автотрансформаторы малой мощности нашли широкое применение в устройствах связи и автоматики. В лабораторной практике автотрансформаторы часто применяют для плавного изменения напряжения в широких пределах.
Измерительные трансформаторы тока и напряжения.
В электроустановках переменного тока большой мощности и напряжением выше 1 кВ непосредственное включение электроизмерительных приборов невозможно, так как номинальные значения напряжения и тока приборов не соответствуют номинальным значениям напряжения и тока электроустановок. Для расширения пределов измерения приборов и для изоляции их от цепей высокого напряжения применяют ИТТ и ИТН.
ИТТ используют для расширения пределов измерения амперметров и последовательных обмоток ваттметров, счетчиков энергии и фазометров. Его первичную обмотку включают последовательно в ту цепь, ток в которой надо измерить. Эта обмотка обычно состоит из одного или нескольких витков, ее выводы обозначают Л1 и Л2. К зажимам вторичной обмотки подключают амперметр или последовательные обмотки ваттметра, счетчика и фазометра. Чтобы ток во вторичной обмотке был меньше измеряемого первичного тока, число витков вторичной обмотки делают большим. Выводы вторичной обмотки обозначают И1 и И2. Вторичную обмотку и металлические части кожуха заземляют. Это вызвано требованиями техники безопасности для защиты обслуживающего персонала от возможного поражения током высокого напряжения при пробое изоляции между первичной и вторичной обмотками.
Подключаемые ко вторичной обмотке приборы обычно имеют небольшое сопротивление. Поэтому для трансформатора тока нормальным режимом является режим короткого замыкания, при котором можно считать I2=I1/k1 (k1=w2/w1). При отключении или замене прибора вторичная обмотка трансформатора тока должна быть обязательно закорочена. Для трансформаторов тока, как и для силовых трансформаторов, справедливо уравнение МДС
. В отличие от силовых трансформаторов, у трансформаторов тока МДС первичной обмотки
не зависит от МДС вторичной обмотки
, а определяется током в цепи, в которую она включена. Если разомкнуть цепь вторичной обмотки, то
и результирующая МДС будет равна
которая во много раз может превышать МДС
. Поэтому если не замкнуты накоротко зажимы вторичной цепи, то МДС первичной обмотки
не будет скомпенсирована, магнитный поток и потери в магнитопроводе увеличатся настолько, что трансформатор может сгореть. Кроме того, возросший магнитный поток индуцирует на зажимах вторичной обмотки, имеющей большое число витков, значительную ЭДС (сотни и даже тысячи вольт).
|
|
|
Трансформаторы тока имеют стандартные номинальные первичные токи от 5 до 15000 А при номинальном вторичном токе 5 А (у некоторых трансформаторов при токе 1 А). Поэтому ко вторичной обмотке следует присоединять приборы, номинальный ток которых равен 5 А. При соблюдении этого условия цену деления прибора определяют по номинальному первичному току трансформатора тока.
Некоторые типы лабораторных трансформаторов тока изготовляют на несколько значений номинальных первичных токов, в том числе и на токи, меньшие 5 А. Это необходимо тогда, когда измеряемые токи настолько малы, что не могут быть измерены прибором, предел измерения которого равен 5 А. В этом случае трансформаторы работают как повышающие, т. е. измеряемый ток увеличивается с их помощью.
ИТНприменяют в сетях высокого напряжения для измерения напряжения и частоты. К вторичной обмотке подключают вольтметры, частотомеры и параллельные обмотки ваттметров, счетчиков и фазометров, т. е. обмотки, имеющие большое сопротивление. Поэтому для трансформаторов напряжения нормальным режимом является режим холостого хода.
Трансформаторы напряжения конструктивно мало отличаются от обычных силовых трансформаторов. Они имеют небольшую мощность и включаются в сеть так же, как обычные трансформаторы. Вторичная обмотка заземлена. Коэффициент трансформации выбирают таким, чтобы вторичное напряжение было равно 100 В.
При включении через измерительные трансформаторы измерительных приборов, у которых различаются начала и концы обмоток, нужно следить, чтобы начала обмоток приборов (генераторные зажимы) были присоединены к зажиму И1трансформатора тока и зажиму атрансформатора напряжения. Тогда направление тока в обмотках приборов будет таким, как при прямом включении приборов, и показание приборов будет правильным.
3) Пуск АД с контактными кольцами. Пусковые механические характеристики. Влияние величины сопротивления на пусковой ток и момент.
Пуск двигателей с контактными кольцами (фазным ротором) осуществляется с помощью пускового реостата. Трехфазный пусковой реостат включают последовательно с обмоткой ротора через щетки и кольца. В результате сопротивление цепи ротора увеличивается, а пусковой ток ротора
уменьшается и, следовательно, уменьшается пусковой ток двигателя.
Сопротивление пускового реостата
можно подобрать таким, что пусковой момент будет равен максимальному. Для этого необходимо, чтобы Sкр=1. Получаем:
, откуда сопротивление пускового реостата, приведенное к обмотке статора:
.
При включении пускового реостата сопротивлением
двигатель трогается с места при Мп=Мmax (характеристика 1). По мере того, как увеличивается частота вращения двигателя, сопротивление пускового реостата уменьшают. Этому соответствует переход на новую механическую характеристику (2). Когда пусковой реостат полностью выведен, разгон двигателя заканчивается в соответствии с естественной характеристикой 4. Такое изменение сопротивления пускового реостата обеспечивает условия разгона двигателя при моментах, близких к максимальному, благодаря чему сокращается время пуска. Это особенно важно, когда пуск двигателя осуществляется под нагрузкой.
АД с фазным ротором сложнее по конструкции и дороже АД с короткозамкнутым ротором. Но в связи с тем, что при пуске они могут развивать максимальный момент, их применяют в установках с тяжелыми условиями пуска (подъемные краны, лебедки и др.).
Билет 15
1) Коэффициент мощности симметричных трехфазных установок, его технико-экономическое значение и способы повышения.
Значительную часть приемников электрической энергии составляют трехфазные асинхронные двигатели, обслуживающие силовые промышленные установки (компрессоры, насосы, вентиляторы) и производственные механизмы (в основном станки), установки электрического освещения, электрические печи, а также преобразовательные агрегаты, служащие для питания приемников постоянного тока. Все эти приемники, кроме установок электрического освещения, как правило, являются симметричными.
Большая часть промышленных приемников потребляет из сети, помимо активной, и реактивную энергию. Основными потребителями реактивной энергии являются асинхронные двигатели и трансформаторы, потребляющие соответственно 60÷65 и 20÷25% общего количества реактивной энергии.
При загрузке линий передач и трансформаторов значительными потоками реактивной энергии возникают дополнительные потери на нагрев, потери напряжения (особенно в сетях районного значения), уменьшается пропускная способность линий электропередачи и трансформаторов, возникает необходимость увеличения площадей сечений проводов воздушных и кабельных линий, а также мощности или количества трансформаторов. Поэтому в современных системах электроснабжения стремятся частично разгружать линии электропередачи и трансформаторы от реактивной энергии, приближая в соответствии с технико-экономическими возможностями источники реактивной энергии к местам ее потребления. Это приводит к увеличению коэффициента мощности установок.
Повышение коэффициента мощности имеет огромное технико-экономическое значение: так, его повышение на 0,01 только в одной крупной энергосистеме дает ежегодно экономию нескольких миллионов киловатт-часов.
Повышение коэффициента мощности промышленных предприятий должно осуществляться, прежде всего, за счет упорядочения энергетического режима оборудования, рационального использования установленных мощностей асинхронных двигателей и трансформаторов, замены мало загруженных двигателей двигателями меньших мощностей, ограничения режимов холостого хода трансформаторов и двигателей и др. В случае необходимости прибегают к искусственным мерам повышения коэффициента мощности с помощью компенсирующих устройств (источников реактивной энергии) — синхронных компенсаторов — (мощных синхронных двигателей) и статических конденсаторов.
Чем больше реактивная энергия, вырабатываемая компенсирующими устройствами, установленными вблизи приемников, тем выше коэффициент мощности.
Выбор компенсирующих устройств осуществляют на основе технико-экономических расчетов. Применение синхронных компенсаторов в маломощных установках нецелесообразно, поэтому на промышленных предприятиях при мощности компенсирующего устройства меньше 5 МВАр (U = 6 кВ) и 10 МВАр (U = 10 кВ) экономически целесообразна установка конденсаторных батарей.
Реактивная мощность конденсаторов в одном элементе составляет 4÷10 кВАр: из двух элементов собирают батареи требуемой мощности, соединяют их треугольником и включают в трехфазную сеть. В этом случае при заданном напряжении требуются конденсаторы меньше емкости. Установки конденсаторов делятся на три вида: индивидуальные, групповые и централизованные (в последних мощность конденсаторов используется более эффективно).
В соответствии с указаниями по компенсации реактивной мощности в распределительных сетях каждому предприятию нормируется не коэффициент мощности, а непосредственное экономически обоснованное значение реактивной энергии, которую ему разрешается потреблять из сети. В соответствии со специальными договорами предприятиям устанавливается оптимальный tgj, определяемый по показаниям счетчиков реактивной и активной энергии (tgj = Q ср/ P ср). Если предприятие работает с tgj, близким к оптимальному, то оно получает скидку на оплату за электроэнергию (что дает общую экономию средств), если tgj отличается от оптимального, то устанавливается надбавка к тарифу (до 30 %).
Коэффициентом мощности называется отношение активной мощности (ватт, киловатт) к полной мощности (вольт-ампер, киловольт-ампер). Коэффициент мощности в общем случае меньше единицы. Только при чисто активной нагрузке (освещение, нагревательные устройства) он равен единице.
где QC — реактивная мощность компенсирующих устройств.
Величина коэффициента мощности определяет ту долю полной мощности генератора или трансформатора, которую он может отдать энергоприемнику в виде активной мощности.
Низкий соs j у потребителя обусловливает увеличение полной мощности генераторов и трансформаторов, создает недогрузку соответствующих первичных двигателей, а также увеличивает потери мощности в проводах и их сечение.
Причинами низкого коэффициента мощности могут быть:
1.Недогрузка асинхронных электродвигателей на промышленных предприятиях. При холостом ходе двигателя соs j равен 0,1—0,3; при номинальной нагрузке — 0,83—0,85 и выше.
2.Неправильный выбор типа электродвигателя, например необоснованное применение закрытого электродвигателя вместо открытого.
3.Увеличение напряжения в сети выше номинального.
4.Некачественный ремонт электродвигателей (неполное заполнение пазов, сильный износ подшипников, увеличение воздушного зазора или неравномерности его по периметру и т. п.).
Снижение коэффициента мощности наносит государству значительный ущерб. Поэтому повышение коэффициента мощности электрических установок является важнейшей народнохозяйственной задачей.
Практика указывает на следующие способы увеличения соs j:
- правильный выбор типа, мощности и числа оборотов установленных электродвигателей (и особенно вновь устанавливаемых);- полная загрузка электродвигателей по номинальным значениям тока и напряжения;
- запрещение работы асинхронных электродвигателей продолжительное время вхолостую; - правильный и качественный ремонт электродвигателей;- применение статических конденсаторов;
- замена части асинхронных электродвигателей синхронными; - при нагрузке двигателя менее чем на 40—50% целесообразно переключить его с треугольника на звезду (если он нормально работает при включении обмоток треугольником).
2) Классификация двигателей постоянного тока по способу возбуждения. Достоинства и недостатки каждого способа. Области применения двигателей с различными способами возбуждения.
Электрические двигатели постоянного тока (ДПТ) – машины, преобразующие электрическую энергию постоянного тока в механическую энергию. Эта механическая энергия используется для приведения во вращение какого-либо исполнительного механизма.
ДПТ по способу возбуждения делятся на:- ДПТ параллельного возбуждения;- ДПТ последовательного возбуждения;- ДПТ смешанного возбуждения.Двигатель параллельного возбуждения.
В двигателе параллельного возбуждения обмотка возбуждения включена на напряжение сети, т.е. параллельно обмотке якоря. Ток возбуждения составляет 3-5% от номинального значения тока двигателя. После пуска двигателя пусковой реостат полностью выведен, и к якорю двигателя подводится напряжение сети.
Характерной особенностью таких двигателей является независимость тока возбуждения (или потока возбуждения) от тока якоря машины. Разновидностью независимого возбуждения является возбуждение от постоянных магнитов.
Достоинства:- большой диапазон скоростей;- удобно и экономично регулировать величины тока возбуждения.Недостатки:- сложность конструкции;- наличие скользящего контакта в коллекторе;- необходим источник постоянного тока.
Применение: в приводах вентиляторов, станков, а также в других случаях регулируемого электропривода, где требуется устойчивая работа при колебаниях нагрузки, так как они имеют жесткие механические характеристики и возможность плавного регулирования частоты вращения в широком диапазоне.Двигатель последовательного возбуждения.
Обмотка возбуждения включена последовательно с обмоткой якоря, поэтому ток возбуждения равен току якоря.
Режим холостого хода недопустим, т.к. при токе якоря, близком к нулю, ток возбуждения и магнитный поток также близки к нулю, частота вращения двигателя увеличивается в несколько раз по сравнению с номинальной, что может привести к механическому разрушению якоря.
Способность двигателей последовательного возбуждения развивать большой электромагнитный момент, пропорциональный квадрату тока якоря, обеспечивает этим двигателям хорошие пусковые свойства, т. е. большой пусковой момент при сравнительно малом токе якоря. Поэтому такие двигатели применяют в грузоподъёмных и тяговых приводах.
Двигатели последовательного возбуждения не создают таких больших толчков тока для питающей сети при резких увеличениях тормозного момента, какие создают двигатели параллельного возбуждения.
Двигатель смешанного возбуждения.Имеет две обмотки возбуждения, одна из которых включена параллельно обмотке якоря, а другая - последовательно с ней.
Достоинство двигателя со смешанным возбуждением является то, что он обладает мягкой механической характеристикой, но может работать и в режиме холостого хода.
Двигатели смешанного возбуждения применяются в условиях, когда требуется большой пусковой момент, быстрое ускорение при пуске и допустимы значительные изменения скорости вращения при изменении нагрузки. Эти двигатели используются также в случаях, когда момент нагрузки изменяется в широких пределах, так как при этом мощность двигателя снижается, как и у двигателя с последовательным возбуждением. В связи с этим двигатели смешанного возбуждения применяются для привода на постоянном токе компрессоров, строгальных станков, печатных машин, прокатных станов, подъемников и т. д. В последнее время двигатели смешанного возбуждения используются также для электрической тяги, так как при этом легче, чем в случае применения двигателей последовательного возбуждения, осуществляется торможение подвижных составов с возвращением энергии в контактную сеть постоянного тока путем перевода машины в генераторный режим работы.
3) Проанализируйте влияние реакции якоря на величину напряжения синхронного генератора (СГ) при неизменных ЭДС и тока статора при емкостной нагрузке. Изобразите соответствующую векторную диаграмму.
Результирующий магнитный поток зависит от характера нагрузки синхронной машины, т.е. от сдвига фаз между ЭДС и током статора. Влияние магнитного потока якоря на результирующий магнитный поток называют реакцией якоря.
При емкостной нагрузке ток противоположен по фазе индуктивному току (ψ = - π/2) и создает магнитный поток якоря, который совпадает по направлению с основным магнитным потоком. Следовательно, он является продольным намагничивающим потоком Фяd. Как видно из векторной диаграммы, в этом случае результирующие магнитный поток Ф и ЭДС Е увеличиваются за счет реакции якоря.