При серийной выборке единицы отбора представляют собой статистические серии, т. е. совокупности статистически различимых единиц. В качестве таких единиц могут выступать семья, бригада, школьный класс, небольшие производственные коллективы в учреждениях, почтовые отделения, врачебные участки, населенные пункты, территориальные общности и т. п. Отобранные в выборку серии подвергаются сплошному или выборочному обследованию. Второй вариант используется в практике социологических Исследований гораздо чаще, чем первый. Собственно говоря, любая многоступенчатая выборка представляет собой гнездовую выборку, в которой единицы отбора на высших ступенях являются гнездами из единиц отбора нижних ступеней.
Организация серийной выборки. Серийная выборка имеет существенные организационные преимущества перед простой случайной выборкой, так как значительно легче произвести отбор и изучение нескольких коллективов, бригад, цехов и т. д., находящихся на одном месте, чем нескольких сотен пространственно разбросанных людей. Процедура отбора позволяет сконцентрировать выборку в сравнительно небольшом числе пунктов.
|
|
|
Серийная выборка может организовываться по схемам простой случайной и систематической выборок. Наконец, она может формироваться после предварительного районирования генеральной совокупности.
В первых двух случаях к информации о генеральной совокупности— основе выборки—предъявляются те же требования, что и ко всем вероятностным выборкам: размещение элементов генеральной совокупности (серий) не должно быть каким-либо образом систематизировано.
Метод маршрутного опроса. Этот метод социологи часто используют, когда единицей наблюдения выступает семья.
В выборочную совокупность, например намечено включить определенное число случайно отобранных семей или квартир. На карте города или населенного пункта нумеруются все улицы. С помощью таблицы случайных чисел отбираются большие числа, которые позволяют идентифицировать семьи или квартиры, попавшие в выборку. Каждое большое число рассматривается как состоящее из трех компонентов: первые две или три цифры в нем указывают номер улицы, следующая цифра — номер дома, последняя цифра — номер квартиры в выбранном доме.
Например, число 42—25—3 указывает квартиру № 3 дома № 25 на 42-й улице.
Организация серийной выборки методом маршрутного опроса наиболее приспособлена к городам, где преобладают отдельные квартиры, или к населенным пунктам, где еще сохраняется частное домовладение (в последнем случае отпадает необходимость выбирать номер квартиры).
Возможности и ограничения серийной выборки. При серийной выборке всегда имеет место занижение по сравнению с генеральной совокупностью дисперсии изучаемого признака в силу определенного сходства единиц в сериях.
|
|
|
Например, вполне объяснима заметная связь между членами семьи. Характер профессий детей в определенной мере может завидеть от профессии родителей. Очевидна связь членов семьи в отношении их социальной принадлежности.
С точки зрения статистика, сходство элементов серий приводит к избыточности однотипной, повторяющейся информации. Социолог должен учитывать этот органически присущий серийной выборке статистический порок при прочих равных условиях, выбирая в качестве гнезд такие общности, которые содержат максимально разнородные конечные единицы наблюдения. Так, при изучении, скажем, качества медицинского обслуживания населения города разумно в виде гнезд выбрать совокупность жителей, обслуживаемых отдельными почтовыми отделениями, или проживающих на территории отдельных жэков, но никак не врачебные участки, поскольку последний выбор привел бы к искажению результатов.
Расчет характеристик серийной выборки. Расчет характеристик серийной выборки имеет некоторое отличие от простой случайной и систематической выборок. Это отличие связано прежде всего с вычислением дисперсий и ошибки выборки.
Вычисление средней ошибки серийной выборки основано на дисперсии серийных средних.
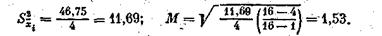
Пример. И генеральной совокупности, включающей 16 семей, сделана серийная выборка, состоящая из четырех семей (в каждой семье по 4 человека). Перед исследователями стоит задача найти оценку средней заработной платы в генеральной совокупности, оценку ее дисперсии и среднюю ошибку выборки (табл. 18).
Средняя ошибка бесповторной серийной выборки определяется


Расчет дисперсии серийных средних

Тогда

В зависимости от выбранной доверительной вероятности средняя заработная плата для генеральной совокупности 83,5 ± 21,53.-Например, исследователь может с вероятностью в 0,95 утверждать, что в данной генеральной, совокупности средняя заработная плата не меньше 80,6 руб. и не больше 86,5 руб.
Так как вычисление ошибки для серийной выборки основано на дисперсии серийных средних, то серийный отбор будет тем репрезентативнее, чем меньше степень колеблемости серийных средних, измеряемая величиной их дисперсии.
4. 4.Стратифицированный отбор