Как указывалось в п. 7.2, при проведении выборочного наблюдения используются различные способы формирования выборочной совокупности: случайный отбор - повторный или бесповторный, механический, серийный, типический. Вид выборки влияет на величину ошибки выборки. При бесповторном отборе формула средней ошибки выборки дополняется множителем

который корректирует величину ошибки выборки и в связи с изменением состава совокупности и вероятности попадания единиц в выборку. В серийной выборке дисперсия определяется как колеблемость между сериями:
(7.14')
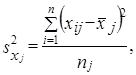
где x̌j - среднее значение признака х в у-й серии;
х̅ - среднее значение в целом по выборке;
r - число отобранных серий.
Формула (7.14') предполагает равенство серий по числу единиц, если это условие не выполняется, то в числитель выражения (7.14') вводится вес - число единиц в j- й серии, fj; тогда в знаменателе указывается не r, а
. Межсерийная дисперсия представляет часть общей дисперсии признака х, и потому ее использование направлено на уменьшение ошибки выборки. Однако значение г намного меньше п, так как число отобранных гнезд намного меньше числа единиц наблюдения. Этот фактор увеличивает ошибку выборки. Его действие более значительно, нежели понижающее влияние межсерийной дисперсии - в результате ошибка серийной выборки в среднем больше ошибки выборки при отборе единицами.
|
|
|
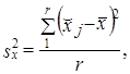
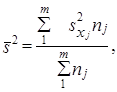
При типическом отборе (стратифицированная или районированная выборка) дисперсия рассчитывается как средняя из внутрирайонных дисперсий:
(7.15')
где s2ji - выборочная дисперсия признака х в j- м районе;

где пj - объем выборки в j- м районе;
т - число районов.
Очевидно, что по правилу сложения дисперсий величина s2 меньше, чем величина общей дисперсии.
Величина ошибки районированной выборки меньше величины ошибки простой (нерайонированной выборки).
Часто используется сочетание районированного отбора с отбором сериями. Такой вид выборки обеспечивает преимущества в организации выборки и уменьшение ошибки выборки. Дисперсия такой выборки представляет среднюю из межсерийных дисперсий для каждого j -го района:
(7.16)
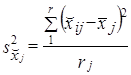
где s2x̌j - межсерийная дисперсия в j -м районе;
,
х̌ij - средняя в i -й серии j- го района;
х̅j - средняя ву-м районе;
r- число серий, отобранных в j -м районе;
т - число районов.
Табл. 7.2 содержит формулы средней ошибки выборки для выборочной средней и выборочной относительной величины для разных видов выборки. В приведенных формулах требуют пояснения выражения дисперсий выборочной относительной величины.
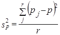
При нерайонированной серийной выборке
,
где рj - доля единиц определенной категории в у-й серии;
|
|
|
р - доля единиц этой категории в выборке.
Таблица 7.2






