Неизвестные параметры в0… вn линейной модели множественной регрессии определяются с помощью классического метода наименьших квадратов, или МНК.
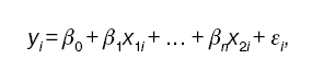
Общий вид линейной модели множественной регрессии:
y i= β0+ β1 x 1k+… + βn x ik+ εi,
где уi – значение /‑ой результативной переменной, i = 1,n; х 1i …х ki ,– значения факторных переменных, i = 1,n;
β0… βn – неизвестные параметры регрессионной модели;
εi – случайные ошибки модели множественной регрессии.
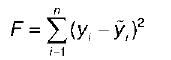
В соответствии с методом наименьших квадратов в качестве метода оценки неизвестных параметров регрессионной модели будет выступать сумма квадратов отклонений наблюдаемых значений результативного признака у от теоретических значений у (рассчитанных с помощью регрессионной модели): 
Для нахождения оптимальных значений неизвестных параметров β0… βn необходимо минимизировать функционал F по данным параметрам, т. е. необходимо рассчитать такой вектор оценки параметра β, который бы доставлял минимум функции, т. е. минимизировал бы сумму квадратов отклонений наблюдаемых значений результативной переменной у от теоретических значений y (значений, рассчитанных с помощью регрессионной модели).
Матричная форма функционала F метода наименьших квадратов:

где Y – вектор значений результативной переменной;
X – вектор значений факторной переменной.
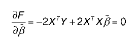
Для определения минимума функционала (1) необходимо вычислить частные производные этой функции по каждому из оцениваемых параметров и приравнять их к нулю.
Общий вид стационарной системы уравнений для функции (1):

В результате решения системы нормальных уравнений получим следующие МНК‑оценки неизвестных параметров регрессионной модели:

Предположим, что в ходе исследований была доказана линейная зависимость между результативной и двумя факторными переменными, выражающаяся равенством вида:

где i= 1,n.
31. Предмет, методы и задачи социально‑экономической статистики
С помощью социально‑экономической статистики исследуются количественные характеристики различных массовых социальных и экономических явлений и процессов общественной жизни с учетом их качественной стороны.
Цель социально‑экономической статистики заключается в адекватном описании условий, процесса и результатов функционирования рыночной экономики, анализе тенденций и закономерностей развития общества с помощью системы взаимосвязанных количественных показателей.
Предметом социально‑экономической статистики является качественно‑количественная сторона жизнедеятельности общества.
Объектами изучения социально‑экономической статистики являются:
1) потребители услуг, материальных и духовных ценностей, информации, представленные индивидами или групповыми объектами;
2) физические лица, организации, структуры, предоставляющие населению определенные услуги, либо организованный социальный процесс;
3) массовые экономические процессы и явления, а также экономическая система в целом.
В процессе сбора, обработки и анализа статистических материалов социально‑экономическая статистика опирается на инструментарий общей теории статистики. Помимо этого, в социально‑экономической статистике применяются различные методологии математической статистики.
В свою очередь, экономическая статистика базируется на основных тезисах экономической теории и тесно взаимосвязана с бухгалтерским учетом. Социальная статистика имеет в своей основе разработки в области различных общественных наук.
В социально‑экономической статистике широко применяются следующие статистические методы:
1) графический и табличный методы представления данных;
2) метод классификаций и группировок;
3) метод расчета абсолютных и относительных показателей;
4) методы расчета средних величин;
5) методы расчета показателей вариации;
6) индексный метод;
7) методы расчета показателей рядов динамики;
8) методы факторного анализа;
9) метод корреляционно‑регрессионного анализа.
К основным задачам социально‑экономической статистики относятся:
1) системный анализ сложившейся ситуации в социальной и экономической сферах общества;
2) анализ важнейших тенденций и закономерностей развития отраслей социальной и экономической инфраструктуры;
3) изучение уровня жизни населения;
4) исследование влияния различных факторов на динамику социальных и экономических явлений;
5) изучение взаимосвязей социальных и экономических явлений между собой и с другими явлениями общественной жизни;
6) разработка новых и совершенствование действующих статистических показателей, обеспечение сопоставимости их с показателями других отраслей;
7) интегрирование исследований на макроуровне для определения первопричин различных социальных и экономических явлений;
8) расширение круга показателей и статистических мнений, использование при оценке общественного мнения приемов и методов социологии и психологии;
9) предоставление органам государственного управления информации, необходимой им для принятия решений по кругу вопросов, связанных с формированием социально‑экономической политики, разработкой различных государственных программ и мер по их реализации;
10) обеспечение информацией о развитии экономики и социальной сферы руководителей предприятий и компаний, менеджеров, организаторов производства и бизнесменов;
11) информирование об основных итогах и тенденциях социально‑экономического развития широкой общественности, научно‑исследовательских учреждений, общественно‑политических организаций и отдельных лиц.






