Линейная модель множественной регрессии – это метод характеристики аналитической формы связи между результативной (зависимой) переменной и несколькими факторными (независимыми) переменными. Построение модели множественной регрессии целесообразно в том случае, если с помощью коэффициента множественной корреляции было доказано наличие линейной связи между исследуемыми переменными.
При построении линейной модели множественной регрессии учитываются следующие условия:
1) величины х1i … xki являются неслучайными и независимыми переменными;
2) математическое ожидание случайной ошибки регрессионной модели Е( εi ) равно нулю во всех / наблюдениях, т. е. Е(εi) = 0 при i = 1,n;
3) дисперсия случайной ошибки регрессионной модели D(e) постоянна для всех наблюдений,т. е. D(εi) = Е(εi) = G2 = const;
4) случайные ошибки регрессионной модели не коррелированы между собой, т. е. ковариация случайных ошибок любых двух разных наблюдений равна нулю: Cov(εiεj) = E(εiεj) = 0, где i ≠ j.
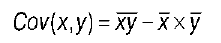
Ковариацией называется показатель тесноты связи между переменными:

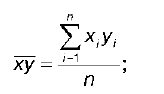
где ху – среднее арифметическое значение произведения факторной и результативной переменных:

х – среднее арифметическое факторной переменной;
у – среднее арифметическое результативной переменной.
Четвертое условие выполняется в том случае, если изучаемые данные не являются временными рядами;
5) исходя из третьего и четвертого условий, можно добавить пятое условие о том, что случайная ошибка регрессионной модели является случайной величиной, подчиняющейся нормальному закону распределения с нулевым математическим ожиданием и дисперсией G2: εi~N(0, G2). На основании перечисленных условий линейная модель множественной регрессии записывается следующим образом:
y i= β0+ β1 x 1k+… + βn x ik+ εi,
где уi – значение /‑ой результативной переменной, i = 1,n; х 1i …х ki ,– значения факторных переменных, i = 1,n;
β0… βn – неизвестные параметры регрессионной модели;
εi – случайные ошибки модели множественной регрессии.
Добавление в модель множественной регрессии такого компонента, как вектор случайных ошибок, необходимо в связи с практической невозможностью оценить связь между переменными с абсолютной точностью.
Линейная модель множественной регрессии также может быть записана в матричном виде:
Y = βX + ε,
где 
– вектор значений результативной переменной размерности п×1






