Естественное движение населения – это изменение численности населения только за счет демографических факторов (рождаемости и смертности).
К абсолютным показателям, характеризующим естественное движение населения, относятся:
1) Р – число родившихся;
2) У – число умерших;
3) (Р – У) – абсолютный естественный прирост. Относительные показатели естественного движения населения характеризуют интенсивность воспроизводства населения.
К относительным показателям рождаемости относятся:
1) общий коэффициент рождаемости, характеризующий число родившихся в среднем на каждую тысячу человек населения:

где Р – число родившихся;
S – среднегодовая численность населения.
Данный коэффициент дает приближенное представление об уровне рождаемости;
2) коэффициент плодовитости, характеризующий уровень рождаемости на каждую тысячу женщин репродуктивного возраста: 
где S – среднегодовая численность женщин в возрасте 15–49 лет.
Между общим коэффициентом рождаемости и коэффициентом плодовитости существует взаимосвязь:
|
|
|

где d – до ля женщин репродуктивного возраста в общей численности населения;
3) коэффициент брачной рождаемости, характеризующий уровень рождаемости у замужних женщин репродуктивного возраста: 
где S – среднегодовая численность женщин репродуктивного возраста, состоящих в браке.
4) коэффициент внебрачной рождаемости, характеризующий уровень рождаемости у незамужних женщин репродуктивного возраста: 
где S – среднегодовая численность женщин репродуктивного возраста, не состоящих в браке. К относительным показателям смертности относятся:
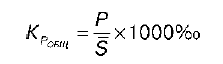
1) общий коэффициент смертности, характеризующий число умерших в среднем на каждую тысячу человек населения: 
где S – среднегодовая численность населения.
Данный коэффициент дает приближенное представление об уровне смертности, потому что зависит от половозрастной и брачной структуры населения; 2) повозрастные коэффициенты смертности, характеризующие число умерших в определенных половых, социальных, профессиональных и иных группах населения:

где У гр – число умерших изучаемой возрастной группы; –
Sгр – среднегодовая численность населения данной возрастной группы.






