Таблица смертности – это упорядоченный ряд взаимосвязанных величин, показывающих уменьшение с возрастом вследствие смерти некоторой совокупности родившихся. Таблицы смертности характеризуют изменение численности условного поколения (совокупности родившихся в одном году 100 тыс. человек) при переходе от возраста к возрасту вследствие смертности.
Основная цель построения таблиц смертности – характеристика порядка дожития до определенного возраста сверстников, сокращение численности населения при переходе из одной возрастной группы в другую.
Таблицы смертности классифицируются по следующим признакам:
1) по охвату возрастных групп:
а) полные – по однолетним возрастам от 0 лет до 100 включительно;
б) краткие – для укрупненных возрастных групп;
2) по полу:
а) для мужчин;
б) для женщин;
в) совместные;
3) по территориальному признаку:
а) для страны в целом;
б) для городского или сельского населения;
в) для краев, областей, крупных городов;
4) по социальному статусу (для отдельных социальных групп);
|
|
|
5) по этническому признаку;
6) по методу построения.
В таблице смертности для каждого возраста x (x = 0,100) содержатся показатели:
1) число доживающих до возраста х лет, определяется по данным переписи – I Х;
2) число умирающих в возрасте х лет, определяют по данным текущей статистики – d x;
3) вероятность умереть в течение предстоящего года жизни для лиц, достигших возрастах лет – q x:
qx = dx / ix;
4) вероятность дожить до следующего возраста лиц, достигших возраста x лет – p x:
px = ix+1 / ix; qx + px = 1;
5) среднее число живущих в возрасте x лет – L x:
L x = i x + i x +1;
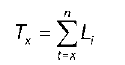
6) число человеко‑лет предстоящей жизни от возраста x лет и до предельного возраста – T x: 
7) средняя продолжительность предстоящей жизни (число лет, которое предстоит прожить лицам, достигшим возраста x лет) – e 0 x:
e 0 x = T x / I x.
Показатель e 0 x определяет число лет, которое предстоит прожить в среднем одному человеку из числа данного поколения родившихся или доживших до определенного возраста при условии, что на протяжении последующей жизни этого поколения повозрастная смертность будет неизменной; 8) коэффициент дожития:
P x = L x +1 / L x.
Существуют следующие методы построения таблиц смертности: 1) условный метод, использующийся, когда нет фактических данных о распределении умерших и живущих по полу и возрасту в один и тот же период;
2) прямой метод или метод реального поколения. Его суть заключается в том, что прослеживается, как фактически вымирает поколение от одного года к другому;
3) косвенный или демографический метод, при использовании которого прослеживается условное поколение.