Миграцией называется перемещение людей (мигрантов) через границы территории с переменой места жительства навсегда или на длительный период времени.
Миграционные процессы классифицируется по ряду признаков:
1) по направлениям потоков:
а) внешняя миграция – выезд за границу (эмиграция) или въезд из‑за границы (иммиграция);
б) внутренняя миграция объединяет процессы, происходящие внутри каждой страны. Выделяют внутриобластную, межобластную миграции, миг рацию сельского и городского населения;
2) по способу организации:
а) организованная – осуществляется при участии государства и общественных органов или с их помощью;
б) неорганизованная (индивидуальная) – происходит, например, по семейным обстоятельствам. Государство может частично управлять неорганизованной миграцией;
3) по времени перемещения:
а) безвозвратная;
б) временная (на определенный срок);
в) сезонная;
г) миграция в курортные зоны;
4) по причинам:
а) экономическая;
б) политическая;
в) военная.
Процесс миграции включает три стадии:
1) потенциальную миграцию (подготовку);
2) собственно миграцию;
3) адаптацию мигрантов к условиям жизни. Миграционные процессы характеризуются с помощью абсолютных и относительных показателей миграции.
К абсолютным показателям миграции относятся:
1) П – численность прибывших в населенный пункт;
2) В – численность выбывших из населенного пункта;
3) (П + В) – валовая миграция или брутто‑миграция;
4) (П – В) – чистая миграция или абсолютный миграционный (механический) прирост. Механическим движением населения называется изменение его численности только за счет миграции.
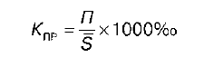
К относительным показателям миграции относятся:
1) коэффициент прибытия:

где S – среднегодовая численность населения данной территории.
3) коэффициент миграционного (механического) прироста:

4) коэффициент эффективности миграции, характеризующий долю чистой миграции в валовой миграции:

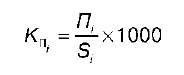
5) частные коэффициенты миграции, характеризующие интенсивность миграции отдельных групп населения (по полу, возрасту и т. д.), например:

где П i – численность населения изучаемой группы, прибывшего в населенный пункт;
S i – численность населения изучаемой группы.







