Существуют следующие виды демографических прогнозов:
1) аналитические – их целью является исследование тенденции воспроизводства населения путем оценки ее возможного влияния на будущую численность и состав населения. Этот прогноз выражается в виде оценки численности и половозрастного состава населения;
2) демографические – это предвидение основных параметров будущей демографической ситуации (численности и состава населения, рождаемости, смертности и др.). Такие расчеты делаются в нескольких вариантах;
3) предостережения – это перспективный расчет численности населения, его цель состоит в характеристике неблагоприятных или опасных последствий сложившейся ситуации.
В зависимости от цели прогноза и характера исходной информации применяются разные методы прогнозирования численности населения.
Метод математического моделирования предполагает использование моделей, основанных на применении математических функций (например, показательной кривой, логистической кривой и др.).
На основе экспоненциального закона роста населения можно определить рост его численности:
Нt = Н 0 х е kt,
где H t – численность населения через t лет; Н0 – численность населения в базисном периоде;
К – коэффициент естественного прироста в долях;
t– период прогноза.
Методы экстраполяции рядов динамики позволяют получить оценку будущей численности населения в предположении, что выявленные тенденции рождаемости, смертности, миграции сохранятся неизменными.
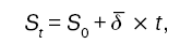
Для наиболее общих оценок будущей численности населения с помощью экстраполяции используются обобщающие показатели динамики, показатель среднего абсолютного прироста:

где δ – средний абсолютный прирост населения;
S t – прогнозируемая численность населения в году t;
S 0 – численность населения на начало прогнозируемого периода;
t – период прогноза.
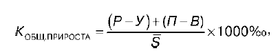
Если известна численность населения на начало какого‑то периода, то перспективную численность населения через t лет можно определить по формуле:

где

(Р – У) – естественный прирост населения;
(П – В) – механический прирост населения;
S – среднегодовая численность населения;
t – период прогноза.
Метод передвижки возрастов – это способ расчета на перспективу половозрастной структуры населения. Суть метода передвижки возрастов заключается в том, что численность населения возрастной группы х на момент времени t равна произведению численности населения возрастной группы (x – 1) на момент времени (t – 1) и коэффициента дожития для данной возрастной группы, показывающего, какая часть лиц в возрасте (x – 1) доживет до возраста x лет:

Разная возрастной состав населения на определенную дату, можно рассчитать предполагаемую численность населения в каждом возрасте через год, два и т. д.