Передачи в тракторной трансмиссии разделяются на два типа: замедленные и основные.
Замедленные (технологические) передачи используются при выполнении специальных работ, требующих низких скоростей движения и небольшого тягового усилия. Получить такие скорости, снижая обороты двигателя, нельзя как из-за ухудшения показателей топливной экономичности, так и по той причине, что агрегатируемые машины часто требуют привода через вал отбора мощности.
В настоящем пособии расчет замедленных передач, а также передач заднего хода не рассматривается. Основные передачи в трансмиссии также делятся на два вида: рабочие и транспортные.
В обычных тракторных трансмиссиях количество транспортных передач составляет 1 или
.
В трансмиссиях с индивидуальными фрикционами в коробке и переключением передач на ходу (типа К-701М и Т-150К) количество транспортных передач может быть увеличено до четырех.
Количество рабочих передач определяется из условия постоянства изменения величины крутящего момента двигателя при переключении с одной передачи на другую для всех передач.
При этом условии передаточные числа в трансмиссии, касательные силы тяги и теоретические скорости движения на рабочих передачах распределяются по закону геометрической прогрессии [1].
Рассмотрим графо-аналитический метод расчета количества рабочих передач в трансмиссии трактора на основании указанного выше условия. В учебных целях графоаналитический метод имеет преимущества перед аналитическим в том, что позволяет наглядно представить причины, приводящие к увеличению или уменьшению количества передач.
Методика расчета будет пояснена на числовом примере. Но прежде, чем рассмотреть числовой пример, остановимся на некоторых общих положениях.
Зависимость между касательной силой тяги и крутящим моментом двигателя имеет вид:
=
, Н (3)
где:
динамический радиус колеса или звездочки, м.
Указанная зависимость будет линейной, если:
= const
Принимаем для дальнейших расчетов это условие.
Динамический радиус колеса (расстояние от оси колеса до точки приложения равнодействующей реактивных сил) принимаются приближенно равным статическому, значение которого для данной марки шины берется из (Приложений II и IV).
Марка шины принимается по данным трактора-прототипа.
Радиус звездочки определяется по формуле:


- число звеньев гусеницы, укладываемых на поверхность движения за один оборот звездочки.
Величины
и
берутся по данным трактора–прототипа (Приложение II, табл. 2).
Необходимо также представить, при каких условиях происходит процесс переключения передач. Для этого рассмотрим диаграмму (лучевой график), изображенную на рис.1 в правой нижней четверти. Предположим, что трактор работает на второй рабочей передаче (см. луч II ). При возрастании нагрузки на крюке увеличивается Рк, т.к. двигатель вырабатывает больший крутящий момент. В т. а крутящий момент достигает расчетного значения Мр. Чтобы предотвратить дальнейшее увеличение момента, нужно переключиться на первую передачу.
Предполагаем, что процесс переключения происходит при постоянной нагрузке на крюке. Тогда достаточно через т. а провести вертикальную линию до пересечения с лучом 1. Точка пересечения дает уменьшенное значение момента Mmin. Таким образом, при переключении на пониженную
передачу происходит потеря крутящего момента двигателя. Принято оценивать эту потерю по величине коэффициента
равного:


Величина коэффициента
оказывает существенное влияние на количество рабочих передач. У серийных отечественных тракторов
= 0,85
.
Количество рабочих передач зависит также от диапазона тяговых усилий, определяемого величинами 
По данным НАТИ [1] для с/х тракторов целесообразно
принимать равным 0,85
- для гусеничных и0,85
- для колесных.
Здесь
- и
- - нормальные тяговые усилия трактора, соответственно, предыдущего и через один класс по типажу.
Правильность выбора
проверяется при дальнейших расчетах по величине скорости поступательного движения на высшей рабочей передаче. Наибольшая скорость на рабочих передачах у современных тракторов не превышает значений: 3,3 м/с (12 км/час) - для гусеничных и 4,2 м/с (15 км/час) -для колесных тракторов.
Величина
ограничивается сцепными качествами движителя. Опыт эксплуатации серийных тракторов показал, что
не должно превышать значений: (1,15
1,25) Ркр(н ) - для гусеничных и(1,1
1,15) Ркр(н ) - для колесных тракторов.
При выполнении тягового расчета величину
рекомендуется проверить по графику буксования. Порядок проверки будет подробно рассмотрен на числовом примере.
Построить график буксования для проектируемого трактора можно различными способами. Однако наиболее достоверные результаты получаются при использовании экспериментального графика буксования аналогичного трактора, полученного при испытании на заданной почве.
На рис .2 приведены две кривые, показывающие зависимость

0 0,1 0,2 0,3 0,4 0,5 0,6 
Рис. 2 Графики буксования тракторов:
1 – гусеничного на пашне
2 – колёсного на стерне
коэффициента буксования d от удельного тягового усилия:
для колесного (график 2) и гусеничного (1) с/х тракторов на расчетном виде почвы. Графики построены по экспериментальным данным и рекомендуются к использованию при выполнении тягового расчета.
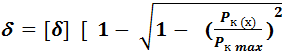
Возможен аналитический расчёт графика буксования по методу проф. М.С. Горбунова [4]:
], где:
– наибольшее допустимое буксование;
– текущее значение касательной силы тяги на колесе (от 0 до
);
– максимальное значение касательной силы тяги на колесе.
Поясняем методику графоаналитического расчета количества рабочих передач на числовом примере.