Гликозидами называют производные моносахаров, имеющие в полуацетальном гидроксиле вместо водорода сложный заместитель неуглеводного характера. Этот заместитель называется агликоном (греческая приставка “а” обозначает отрицание, поэтому “агликон” можно перевести как “не сахар”) или генином:
Впервые понятие о гликозидах было введено в первой половине XIX века немецкими фармацевтами Либихом и Велером. Однако изучение химической структуры гликозидов подвигалось очень медленно в силу их многообразия и легкой разлагаемости. В конце XIX века вышла в свет первая монография о гликозидах. Ее автор - магистр фармации Е.А. Шацкий. Несколько позже, в начале XX века, появились монографии голландского ученого Ван-Рийна и российского магистра фармации Ф.А. Куррота. В изучении углеводного компонента гликозидов наиболее известны работы немецкого химика Э. Фишера, относящиеся к первой половине XX века.
Химическая структура гликозидов. Прежде, чем характеризовать химическую структуру гликозидов, уместно напомнить, что представляет собой полуацетальный гидроксил.
Большинство моносахаров в растворах существуют в виде двух таутомерных взаимопревращающихся форм - альдегидной и циклической (или полуацетальной) формы. Циклические формы представляют собой “внутренние” полуацетали, образовавшиеся в результате реакции альдегидной и спиртовой групп в пределах одной молекулы:
|
Таким образом, если у альдегидной формы глюкозы все гидроксилы являются одинаковыми спиртовыми гидроксилами, то у циклических форм есть один гидроксил по свойствам резко отличающийся от других - это гидроксил, образовавшийся из альдегидной группы. Он то и носит название “полуацетального” или “гликозидного” гидроксила.
Полуацетальный гидроксил отличается гораздо большей реакционной способностью, чем остальные спиртовые гидроксилы. Поэтому он легко взаимодействует с гидроксильными функциональными группами других соединений с образованием гликозидов:
|
Эфирноподобная (но не эфирная) связь, возникающая в результате замещения атома водорода в полуацетальном гидроксиле радикалом спирта, называется гликозидной.
Физико-химические свойства гликозидов во многом определяются особенностями этой связи: в отличие от простых эфиров гликозиды довольно устойчивы к воздействию гидроксидов щелочных металлов, но легко гидролизуются с образованием сахара и агликона ферментами и разбавленными кислотами.
По характеру конфигурации полуацетального гидроксила, участвующего в образовании гликозидной связи, различают a- и b-гликозиды:
|
Большинство природных гликозидов имеют b-конфигурацию.
Как сказано выше, гликозиды отличаются большим разнообразием. Это разнообразие обусловлено, с одной стороны, природой агликона, с другой - характером сахара. Углеводными компонентами гликозидов могут быть моносахариды, дисахариды и олигосахариды. Гликозиды соответственно называются монозидами, биозидами и олигозидами. При этом из моносахаридов в составе гликозидов наиболее часто встречаются гексозы и пентозы (D-глюкоза, D-галактоза, L-рамноза и т.д.) и уроновые кислоты, например D-галактуроновая.
Иногда встречаются специфические сахара, присущие только одной группе гликозидов и не встречающиеся в других. Из изучаемых нами веществ гликозидной природы такой группой являются сердечные гликозиды, которые наряду с вышеуказанными сахарами имеют специфические дезоксисахара, т.е. сахара, обедненные кислородом - b-D-дигитоксозу, b-D-цимарозу и другие:

Полуацетальный гидроксил сахаров может образовывать гликозидные связи не только со спиртовым гидроксилом агликона, но и с амино- или тиогруппировками, содержащимися в агликоне. Иногда гликозидные связи возникают между атомом углерода, содержащимся в сахаре, и каким либо углеродом агликона. В связи с этим среди гликозидов выделяют О-, N-, S- и С-гликозиды.
Классификация гликозидов. В зависимости от химической структуры агликона растительные гликозиды делятся на следующие группы:
1. Производные антрацена. В основе агликонов лежит ядро производных антрацена:
Антрацен |
В растениях антраценпроизводные встречаются как в свободном виде, т.е. в только форме агликонов, так и в виде гликозидов. В последнем случае такие антраценпроизводные называются антрагликозидами. Сахарный компонент может быть представлен глюкозой, ксилозой, рамнозой и арабинозой.
Большинство антрагликозидов относятся к О-гликозидам, при этом сахарный компонент может быть присоединен к агликону в a- и b- положениях.
2. Дубильные вещества гидролизуемой группы – галлотанины, эллаготанины и несахарные эфиры галловой кислоты. Галлотанины представляют собой гликозиды галловой кислоты.
|
Агликоном эллаготанинов служит эллаговая кислота.
|
Как правило, эти виды гликозидов являются О-монозидами, в которых сахаром выступает b-D-глюкоза.
3. Иридоидные (горькие) гликозиды. Агликоны являются производными циклопентаноидных монотерпенов:

Как правило к агликону присоединен один остаток b-D-глюкозы.
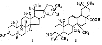
4. Сапонины. В растениях всегда находятся в виде гликозидов. Их агликонами (сапогенинами) служат либо стероидные структуры - производные циклопентанпергидрофенантрена (1), либо тритерпеновые (II):
|
Чаще всего к тритерпеновому агликону углеводная часть присоединена в положении С-3, реже - С-28; к стероидному – в положении С-3. Наиболее богаты сахарами тритерпеновые сапонины: их углеводная часть может содержать 10 и более остатков моносахаров. Сахарная часть стероидных сапонинов содержит, как правило, от 1 до 5 моносахаридных звеньев.
По количеству молекул моносахаров сапонины подразделяются на монозиды, биозиды, триозиды, тетра-, пента- и олигозиды - при числе моноз от 6 и выше.
Так как углеводная часть сапонинов чаще всего состоит из нескольких молекул моносахаридов, то гидролиз в определенных условиях может протекать ступенчато, с постепенным отщеплением сахаров. Образующиеся при этом продукты частичного гидролиза называются просапогенинами.
В состав углеводной части молекулы сапонинов входят такие сахара, как D-глюкоза, D-галактоза, L-рамноза, L-фруктоза и другие, а также D-глюкуроновая и D-галактуроновая кислоты. Многие сапонины содержат в углеводной части несколько остатков различных моносахаридов.
Некоторые тритерпеновые гликозиды имеют разветвленную углеводную цепь.
Среди растительных сапонинов встречаются гликозиды с двумя углеводными цепями при одном агликоне - в этом случае их называют дигликозидами.
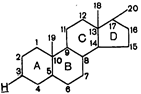
5. Сердечные гликозиды - агликонами являются производные циклопентанпергидрофенантрена:
|
Сахарные компоненты всегда присоединяются к агликону в положении С-3. Длина сахарной цепочки у различных гликозидов разная - от одной молекулы до нескольких.
В составе сердечных гликозидов обнаружено до 30 различных сахаров, причем большинство из них, кроме глюкозы, фруктозы и рамнозы, сахара, специфичные для сердечных гликозидов, и в других биологически активных веществах растительного происхождения не встречаются. Это 6-дезокси- и 2,6-дезоксигексозы, которые, кроме того, часто содержат метоксильные или ацетильные группы (дигитоксоза, цимароза).
Углеводные компоненты сердечных гликозидов построены линейно, причем к агликону обязательно сначала присоединяются дезоксисахара, а концевым (терминальным) моносахаридом служит глюкоза.
6. Фенольные гликозиды - форма фенольных соединений (преимущественно производных бензойной кислоты и фенолоспиртов), у которых гидроксильная группа связана, как правило, с одной молекулой b-D-глюкозы.

Арбутин
7. Флавоноиды. В растениях встречаются как в свободном виде, так и в виде гликозидов. Агликоном является производное бензо-g-пирона, в основе которого лежит фенилпропановый скелет:
|
В качестве сахаров встречаются D-глюкоза, D-галактоза, D-ксилоза и др., а также глюкуроновая кислота. Флавоноидные гликозиды делятся на 3 группы: О-гликозиды, С-гликозиды и так называемые комплексные гликозиды.
Для нас наибольший интерес представляют О-гликозиды, которые могут быть моногликозидами или дигликозидами (с одной или двумя углеводными цепями, расположенными, как правило у С-4 или С-6). Количество остатков моносахаров может быть различным - от 1 до 6 и более, причем сахара могут сочетаться как в прямые, так и в разветвленные цепи.
8. Тиогликозиды - относятся к S-гликозидам и являются производными циклических форм сахаров, у которых полуацетальный гидроксил замещен на алкилтио- или арилтиогруппу:
|
В качестве сахара почти всегда выступает 1 молекула b-D-глюкозы.
9. Цианогенные гликозиды - гликозиды, образующие в процессе гидролиза синильную кислоту. Сахарный компонент представлен 1 или 2 остатками b-D-глюкозы.
Антрацен






