Полученные при сборе данных сырые (первичные) оценки выполнения экспериментальных заданий далеко не всегда удобно использовать в дальнейшей работе. Их тем или иным способом преобразуют. Наиболее '•детым!! преобразованиями являются, центрирование и нормирование средкеквадратическими отклонениями. Под центрированием понимается линейная трансформация величин признака, при которой средняя величина распределения определенного признака становится равной нулю. Направление шкалы и ее единицы остаются при этом неизменными
Суть нормирования состоит в переходе к доугому масштабу — стан-дарти'.ированным (стандартным) единицам измерения. Пр» стандартизи-ровании результатов тестовых испытаний нормирование чаще всего осуществляется с помощью среднеквадратическнх отклонений. Стандартизи-рование производится при нормальном распределении тестовых оценок (ши близком к нему по виду.
В психологии существует целый ряд шкал, основанных на нормальном распределении и имеющих разные значения М и о. Например, в шка-."е отклонений инюл.покта SQ: М-100, с.' -15: в шкале Векслера М---!0, о-" ^. Распределения различных измеренных в эксперименте пршнпкоБ имеют рпзные величины М п с; Переводя полученные первичнън?."-'цепки разных i;w'!h;ikob is распределению с отнп?ли и теми же \'1 'i '"7, мы пол\'".аем,"':';лыие возможностей для оценки и сопоставления их варьирования Сделать это нам позволяет псподь яванце нормированного о^-доненчя Нормированное отклонение показывает, на сколько сигм отклоняется та ц-ш гнш варианта от среднего уровня варьирующего признака (средней арифметической';. и выражается формулой:
|
|
|

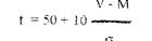
где V - значение признака (в сырмх оценках;
С помощью нормированного отклонения можно оценить любое полученное значение по отношению к группе в целом, взвесить его отклонение и одновременно освободиться от именованных величин. Для того что--т i
бы избавиться от отрицательных чисел к полученной величине t можно прибавить какую-либо константу. Удобно, если все кисла, с которыми вы оперируете имеют одинаковое количество знаков С учетом этих соображений. весьма удобна шкала Т-оценок. Для этой шкалы принято нормальное распределение, имеющее М^О, ст -=10. Дня пересчета берется константа равная 50. Формула преобразования сырых оценок в Т-оценки следующая:

Смысл процедуры нормирования рассмотрим на примере. Предположим, нас интересуют некоторые связи коммуникативной умелости продавцов с особенностями расположения магазина в крупном городе. Чтобь составить некоторую интегральную оценку коммуникативной умелосп конкретного продавца, мы можем через наблюдение получить по каждом} испытуемому ряд параметров, характеризующих его общение с покупателем Например, мы можем измерить среднюю длительность контакта глазами. среднее количество улыбок в фиксированный интервал времени. количество грубых, непривечливых обращений и т.д. Можно охарактеризовать преимущества и недостатки расположения магазина в городе (насколько "бойкое место" и т.п) Для этого можно подсчитать количестве маршрутов городского транспорта, имеющих остановки в непосредственной близости от магазина, оценить его удаленность от станций метро. участь число расположенных поблизости магазинов другого профиля и т.д.
|
|
|
Для того чтобы вывести некоторый обобщенный коммуникативный показатель невозможно складывать число улыбок с длительностью контакта глазами и вычитать из этой суммы количество выражений. св1Едетельст-вующрх о ндзкой речевой культуре. Бессмысленно складывать число автобусных маршрутов с числом соседних магазинов и вычитать из С}тиМ;ы велугару расстояния до ближайшего метро. Лучше собрать необходимый массив количественных данных, проводя исследование в ряде магазинов, подсчитать первичяые статистики для всех этих показателей, а затем, после преобразования сырых данных, получить Т-баллы по каждому показателю.
При нормировании нз каждого полученного при сборе данных значения в сырых единицах вычитают q-eninoic арифметическую, а разность делят на сигму. Полученную величину умножают на i0, затем прибавляют к 50 или вычитают из 50. Выбором последнего арифметического действия (сложение или вычитание) мы можем задать направление вклада, который делает этот параметр в высчитываемую интегральную оценку, т.е.
можем задавать направленность преобразования, учитывая специфику данного параметра. Если конкретное значение в сырых единицах превышает среднюю арифметическую, мы можем нормированное отклонение (разность, деленную на сигму) приплюсовать к 50. Это будет соответствовать большей выраженности оцениваемого психического качества у данного испытуемого, чем в среднем по нашей выборке.
Например, большее у конкретного продавца количество улыбок на одну сигму (чем в среднем) количественно теперь будет выражено: 60 Т-баллами. Количественную оценку признаков высокой речевой культуры в нормированных отклонениях следует прибавлять к. 50 Т-баллам, а низкой речевой культуры — вычитать из 50 Т-баллов. Если. например, количественная оценка некоторого признака отрицательной направленности (в сырых баллах), превышает среднюю величину на полсигмы. то в Т-баллах ока будет равна 45. После такого рода преобразований, подсчитывая интегральный показатель коммуникативной умелости.для конкретного испытуемого, мы можем прибавлять одни Т-баллы к другим.
Форму стандартизирования данных целесообразно выбирать с учетом размаха полученных сырых оценок и числа градаций. Если в сырых ow.h-ках число градаций 7-! 5, то могут оказаться вполне подходящими стенай-ньг. Если же число градаций достигает 30 н более при небольшой скошенности распределения (асимметрии), то переводя эти показатели в стенайны мы будем огрублять оценки, т.е. терять некоторую долю точности произведенного измерения Если есть основания считать что ваши измерения достаточно эффективны (например- есть данные о хорошей ретестовой надежности, обнаружены высокие корреляции полученных в измерениях показателей с ясными и надежными внешними критериями валг.дизации и т.д.), то оправданным будет использование стандартных единиц имеющее такое же или даже несколько большее число градаций.