Эффективность протекания процесса оценивается по ряду технологических показателей. Глубину превращений исходного сырья характеризует степень превращения (степень конверсии)

где
- стехиометрические коэффициенты;
- начальное количество вещества А,
- текущее количество вещества А (к моменту для которого рассчитывается степень превращения),
- количество вещества А превратившегося в продукт к данному моменту
.
- степень превращения вещества А:

Отсюда при любой степени превращения можно рассчитать значения
. Аналогично можно рассчитать степень превращения и по любому другому веществу, например:
.
Если реакция протекает без изменения объема, то от количественного показателя можно перейти к концентрации, разделив числитель и знаменатель на объем:
.
Если реакция идет по нескольким направлениям, то необходимо знать выход продукта Е – это отношение количества исходного вещества превращенного в данный целевой продукт к первоначальному количеству исходного вещества.


для простой реакции
.
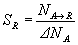
Интегральная (общая) селективность процесса (S) по продукту – это отношение количества исходного вещества, превращенного в конечный продукт, ко всему количеству превращенного реагента. Для реакции (2):
. Количественная связь между S, E, X:
.
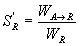
Дифференциальная селективность
- это отношение скорости превращения исходного вещества А в продукт R (
) к общей скорости превращения А (
):







