При проведении сложных реакций перед технологом ставится задача выбора модели реактора, при использовании которой получалась бы реакционная смесь, содержащая максимально возможное количество целевого продукта и минимальное количество побочных продуктов или отходов.
Рассмотрим реакцию вида:. 
Селективность зависит от соотношения скоростей основной и побочной реакций или относительной скорости образования веществ R и S. Пусть основным является продукт R, побочным- S. Скорость их получения выражается формулами:
,
,
где:
– порядки основной и побочной реакций.
Гидродинамическая обстановка (модель реактора) влияет на скорость процесса главным образом через концентрацию вещества, которая понижается по логарифмической кривой для реактора идеального вытеснения и равна конечной для реактора полного смешения.
Если
, то для увеличения селективности по продукту R необходимо иметь наибольшее значение концентрации вещества А. Это достигается применением реактора идеального вытеснения или реактора периодического действия. Если использовать реактор смешения, то селективность можно увеличить за счет установки каскада.
Для газо-фазных реакций увеличение
и тем самым селективности достигают повышением общего давления в системе.
Если
,
, то для достижения высокой селективности по продукту
концентрация
должна быть возможно меньшей. Это можно поддерживать в реакторе полного смешения (проточном). Величина
снижается так же разбавлением реагентов, поступивших в реактор (например, введением инертных веществ или использованием рецикла). Для газо-фазных реакций используется снижение общего давления в системе.
Если
, то распределение продуктов реакций не зависит от модели реактора. Для гомогенных процессов зависимость селективности от температуры была рассмотрена выше, при этом следует помнить, что реакторы полного смешения всегда работают при изотермическом режиме, а реакторы идеального вытеснения имеют адиабатический или политермический режим.
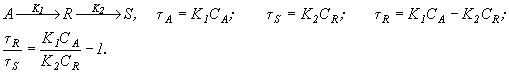
При проведении последовательных реакций для увеличения селективности также важен оптимальный выбор модели реактора:

Селективность будет тем больше, чем больше концентрация вещества А -
и больше отношение
. Отсюда следует, что для такого вида реакции для обеспечения высокой селективности по промежуточному продукту предпочтительнее реакторы идеального вытеснения и реакторы смешения периодического действия.
Если
, то для достаточно высокой селективности следует организовывать процессы по циклической схеме при малой степени превращения исходного сырья за один проход через реактор. При этом, целевой продукт извлекается из реакционной смеси с последующей рециркуляцией не прореагировавшего сырья.
Если
использования реакция необязательно






