Теория гомоморфизма дает возможность строить упрощенные модели
систем. Упрощение должно выполнятся таким образом, чтобы новая система
была либо эквивалентна оригиналу, либо являлась его достаточно хорошей
аппроксимацией.
Две системы эквивалентны при одинаковой совокупности входных воздействий, если они имитируют одинаковые выходные сигналы.
Системы для которых существует преобразование, приводящее к эквивалентной более простой системе, называются упрощаемыми, а свойство - упрощаемостью. При этом параметры более простой системы в функциональной связи с параметрами исходной. Не всякая система может быть упрощена. В этом случае возникает задача аппроксимации исходной системы. При аппроксимации параметры исходной и аппроксимированной систем не связаны функциональными зависимостями. Аппроксимация осуществляется с некоторой точностью, определяемой критерием аппроксимации. Не всегда аппроксимация является упрощением.
Пример:
, кусочно-линейная аппроксимация.
|
|
|
Вывод: всякую систему нужно попытаться упростить либо путем поиска более простой эквивалентной, либо аппроксимирезющей.
Задание №6. Задача о размещении буйков в акватории береговой линии. (ПЗ-2)
Задано.
1.Карта акватории.
2.Количество буйков (например - 100).
Необходимо.
В условиях полного отсутствия какой-либо информации о гидрологических характеристиках акватории, простейшим образом разместить буйки для проведения начальных исследований акватории.

Рис. 8.
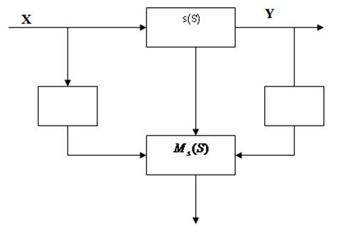
Логика системы и упрощение Эшби
Повышение размерности задачи приводит к более богатым свойствам, однако, это повышение значительно усложняет анализ и синтез сложных систем. Одним из направлений в решении этой проблемы является, алгебраический метод, предложенный французской школой Н. Бурбаки и Риге.
Этот метод дает алгебру, которая может быть использована не только как
алгебра, но также за счет формы, в которой она развита, способна показать, что в наших рассуждениях является логичным, операционным либо структурой соотношений. До сих пор эти понятия могли быть выражены только словесно (приблизительно).
В основе алгебры лежит понятие гомоморфизма и суть ее сводится к соотношениям вида:
- некоторая алгебраическая форма, которая всегда может рассматриваться как ответ на вопрос:
на что будет похожа система А после кодирования ее операцией типа С?
Пример:
Последовательность событий.
Рассмотрим основную идею системы, поведение которой определено ее состоянием. Пусть λ - отображение, которое описывает фактическое поведение системы так, что в момент времени t + наблюдаемое состояние λ(t)→η
|
|
|
σ - операция, соответствующая переходу σ→t+Δt или σ(t)→t+1, для дискретных моментов времени.
- запаздывающие моменты времени.
Тогда происходящее в системе
- множество состояний системы, следующих за состоянием η.
- совокупность всех моментов времени, в которых производятся
наблюдения.
В каждый момент времени (
), отстоящий от предыдущего на интервал времени (σ) производится наблюдение состояний системы
λ


Свойства системы, определяемой состоянием
1. Для каждого из возможных состояний
, производится наблюдение этих состояний в моменты времени, отстоящие один от другого на единицу изменения времени:

2. Упрощение.
Под упрощением в большинстве случаев понимается применение некоторого отношения эквивалентности, которое собирает состояния в такое подмножество, в котором обмен происходит только между ними.
Известно, что только некоторые состояния эквивалентности дают упрощенную форму, сохраняющую свойства системы.
Предположим, что система μ и отношение R обладают свойством совместимости, т.е. отображение R собирает все состояния системы. Образуя множество Rμ(η).
Условием совместимости является наличие того фактора, что множество μ[R(η)] содержится в предыдущем множестве, т.е.

последнее равнозначно
.
Предполагается, что:
- формула отношения эквивалентности.
- упрощающее отображение,
- упрощенное обобщение системы.
В последнем случае существует функциональное отношение. Всякое отношение, которое удовлетворяет условию
не является отображением, но может быть сделано таковым, если применить к его образу подходящее отношение эквивалентности. Это является непосредственным указанием на возможность упрощения.
3. Декомпозиция (выделение части из целого).
Систему μ можно рассматривать как такое множество τ переменных
состояний, в
пределах которого связи между переменными многочисленны и
количество связей между этими и другими множествами есть величина меньшего порядка.
Пусть система, выделяемая внутри некоторой большой системы, обладает указанным выше свойством.
При решении задачи декомпозиции необходимо математически выразить связаны или не связаны две части системы:
, где
- подсистема и каждая часть
задается множествами элементов
, таким образом, что состояние системы в целом определяется комплексным набором

В качестве системы мы определили μ – отображения в себя.
Пусть множество частей будет
, тогда
, т.е. 
- оператор, переводящий вектор внутрь множества всех возможных состояний, составляющих отображения R (подмножества I) (собирает все состояния системы).
Последняя запись указывает на то, что переменная i не оказывает непосредственного влияния на переменную j.
4.Изолированная система (закрытая).
Если каждая пара (i,j) испытана на связь, то можно использовать множество пар для определения Q функциональных связей.
- закрытая система;
- множество переменных, влияющих на Z частей, где Z=I-J, а
- множество всех переменных, влияющих на J.
5. Координация
1. Одноуровневые, одноцелевые системы
2. Одноуровневые, многоцелевые системы
3. Многоуровневые, многоцелевые системы.
В системах (2 и 3) возникает понятие конфликта цели. Во втором случае конфликт цели в общем случае неразрешим, потому что в системах нет приоритета. В системах 3-го типа могут быть модели, которые позволяют устранить конфликт цели с помощью координации, например, путем введения обратных связей (в общем случае - информационных).

Рис. 9.
2.3. Классификация моделей
Основанием для классификации моделей является цель моделирования. Целевая ориентация моделей позволяет классифицировать их по типам целей, по способам воспроизведения (реализации), по изменению на различных этапах жизненного цикла.
|
|
|
По типам целей различают модели:
- познавательные;
- прагматические.
По способам воспроизведения различают модели:
- идеальные (абстрактные);
- материальные (реальные, физические).
По изменению во времени различают модели:
- статические,
- динамические.
2.3.1 Познавательные и прагматические модели
Различие познавательных и прагматических моделей проявляется в их отношении к оригиналу в процессе деятельности.
Познавательные модели являются формой организации и представления знаний, по средством соединения новых знаний с имеющимися. Если в процессе создания познавательной модели некоторого реального объекта наблюдаются расхождения, то осуществляется коррекция модели с целью приблизить ее к реальности.
Примерами познавательных моделей являются, по существу, все научные теории, которые развиваются и совершенствуются по мере выявления несоответствия старых моделей реалиям мира. Например, познавательные модели в социологии связаны с изучением закономерностей
социального развития, тенденцией изменения различных социальных явлений.
Прагматические модели являются средством управления практическими действиями, способом представления требуемых действий или их результата, т. е. являются рабочим представлением цели. Поэтому в случае обнаружения расхождения между прагматической моделью и реальным объектом основные усилия должны быть направлены на коррекцию (изменение) реальности.
Прагматические модели носят нормативный характер, выполняют роль стандарта, образца, под который подгоняются реальные объекты
Примером таких моделей служат программы, уставы, кодексы законов, чертежи, шаблоны и т. п. Например, некоторые прагматические модели в социологии предназначены для разработки практических рекомендаций и предложений по повышению эффективности управления различными социальными процессами
Классификация описанных кратко моделей представлена на рис.10.

Рис. 10. Классификация моделей
Семантика – (франц. – semantique, от греч. semanticos – обозначающий,
|
|
|
sёma - знак).
ПОЯСНИТЕЛЬНАЯ ЗАПИСКА
Фонд оценочных средств (далее – ФОС) по производственной (педагогической) практике разработан в соответствии с ФГОС направления Изобразительное искусство (утвержден приказом Минобрнауки России от 17 сентября 2009 г. № 337) и «Типовым положением о фонде оценочных средств по основной образовательной программе высшего образования в федеральном государственном бюджетном образовательном учреждении высшего профессионального образования «Поволжская государственная социально-гуманитарная академия» (утверждено приказом от 12.12.2013 № 184-к), «Положения о текущем и промежуточном контроле, промежуточной и итоговой аттестации студентов в условиях рейтинговой системы оценивания результатов обучения в ПГСГА» (утверждено приказом от 08.12.2011 № 79-к), «Положения о модульно-рейтинговой системе подготовки студентов в условиях двухуровневой системы образования в федеральном государственном бюджетном образовательном учреждении высшего профессионального образования «Поволжская государственная социально-гуманитарная академия»» (утверждено приказом ректора ПГСГА от 08.12.2011 № 79-к), на основе учебного плана и ООП по соответствующему профилю с учетом компетенций, формируемых в процессе прохождения производственной (педагогической) практики.
ФОС представляет комплекс контрольно-измерительных (вопросов для проведения контрольной работы, тесты, темы практических заданий, вопросы к экзамену) и методических материалов, определяющих процедуру и критерии оценивания, предназначенных для определения качества результатов обучения и уровня формирования компетенций обучающихся в процессе прохождения производственной (педагогической) практики. ФОС является неотъемлемой частью рабочей программы дисциплины.
ФОС нацелен на оценку индивидуальных результатов обучения обучающихся на соответствие их знаний, умений и опыта деятельности требованиям ООП по направлению подготовки 050100.62 Педагогическое образование, по профилю «Изобразительное искусство».
Задачами ФОС являются контроль и управление процессом приобретения студентами необходимых знаний, умений и опыта практической деятельности, контроль уровня сформированности компетенций, определенных ФГОС ВО по направлению подготовки «Изобразительное искусство», оценка достижений студентов в процессе изучения дисциплины с выделением положительных или отрицательных результатов и планирование предупреждающих (корректирующих) мероприятий.
ФОС по производственной (педагогической) практике предполагает выявление уровня сформированности следующих компетенций (в соответствии с ООП профиля «Изобразительное искусство»):
владеет основами речевой профессиональной культуры (ОПК-3)
способен нести ответственность за результаты своей профессиональной деятельности (ОПК-4)
владеет одним из иностранных языков на уровне профессионального общения (ОПК-5)
способен к подготовке и редактированию текстов профессионального и социально значимого содержания (ОПК-6)
способен реализовывать учебные программы базовых и элективных курсов в различных образовательных учреждений (ПК-1)
готов применять современные методики и технологии, в том числе и информационные, для обеспечения качества учебно-воспитательного процесса на конкретной образовательной ступени конкретного образовательного учреждения (ПК-2)
способен принимать современные методы диагностирования достижений обучающихся и воспитанников, осуществлять педагогическое сопровождение процессов социализации и профессионального самоопределения обучающихся, подготовки их к сознательному выбору профессии (ПК-3)
способен использовать возможности образовательной среды, в том числе информационной, для обеспечения качества учебно-воспитательного процесса (ПК-4)
готов включаться во взаимодействие с родителями, коллегами, социальными партнёрами, заинтересованными в обеспечении качества учебно-воспитательного процесса (ПК-5)
способен организовывать сотрудничество обучающихся и воспитанников (ПК-6)
готов к обеспечению охраны жизни и здоровья обучающихся в учебно-воспитательном процессе и внеурочной деятельности (ПК-7)
способен разрабатывать и реализовать культурно-просветительские программы для различных категорий населения, в том числе с использованием современных информационно-коммуникационных технологий (ПК-8)
способен профессионально взаимодействовать с участниками культурно-просветительской деятельности (ПК-9)
Способен к использованию отечественного и зарубежного опыта организации культурно-просветительской деятельности ( ПК-10)
способен выявлять и использовать возможности региональной культурной образовательной среды для организации культурно-просветительской деятельности (ПК-11)
владеет инструментарием, методами, приёмами и практическими навыками работы в изобразительном и декоративно-прикладном искусстве (по видам), дизайне и компьютерной графике (СК-2)
владеет навыками реалистического изображения с натуры: натюрморта, пейзажа, портрета, фигуры человека (СК-3)
ФОС по производственной (педагогической) практике предполагает контроль следующих образовательных результатов обучающихся:
Общепрофессиональная компетенция - (ОПК-3)
Знает: основные понятия и термины в области изобразительного искусства, истории и теории художественного образования и воспитания.
Умеет: свободно пользоваться категориальным аппаратом курса, использовать различные формы, виды устной и письменной коммуникации в учебной и профессиональной деятельности.
Владеет: грамотной речью, различными способами вербальной и невербальной коммуникации.
Общепрофессиональная компетенция - (ОПК-4)
Знает: ценностные основы профессиональной деятельности в сфере образования.
Умеет: анализировать мировоззренческие, социально и личностно значимые философские проблемы.
Владеет: способами совершенствования профессиональных знаний и умений путём использования возможностей информационной среды образовательного учреждения, региона, области, страны.
Общепрофессиональная компетенция - (ОПК-5)
Знает: иностранные языки на уровне профессионального общения.
Умеет: использовать различные формы, виды устной и письменной коммуникации на родном и иностранных языках в учебной и профессиональной деятельности.
Владеет: навыками коммуникации в родной и иностранной среде.
Общепрофессиональная компетенция - (ОПК-6)
Знает: содержание и структуру положений и документов в области профессиональной педагогической деятельности.
Умеет: составлять и редактировать тексты профессионального и социально значимого содержания.
Владеет: различными средствами коммуникации в профессиональной педагогической деятельности.
Профессиональная компетенция - (ПК-1)
Знает: сущность художественного образовательного процесса, определяющую методологию обучения; особенности реализации педагогического процесса в различных типах учебных заведений
Умеет: системно анализировать и выбирать образовательные компетенции, проектировать элективные курсы с использованием последних достижений науки
Владеет: навыками организации и планирования занятий по дисциплине «Изобразительное искусство» для учащихся образовательных школ Профессиональная компетенция - (ПК-2)
Знает: современные методики и технологии, в том числе информационные, для обеспечения учебно-воспитательного процесса на конкретной образовательной ступени образовательного учреждения.
Умеет: проектировать образовательный процесс с использованием современных технологий, соответствующих общим и специфическим закономерностям и особенностям возрастного развития личности, осуществлять педагогический процесс в различных возрастных группах и различных типах образовательных учреждений, использовать в образовательном процессе разнообразные ресурсы, в том числе потенциал других учебных предметов.
Владеет: способами совершенствования профессиональных знаний и умений путем использования возможности информационной среды образовательного учреждения, региона, области, страны.
Профессиональная компетенция - (ПК-3)
Знает: теории и технологии обучения и воспитания ребенка, сопровождения субъектов педагогического процесса, закономерности психического развития и особенности их проявления в учебном процессе в разные возрастные периоды, способы психологического и педагогического изучения обучающихся.
Умеет: использовать методы психологического и педагогической диагностики для решения различных профессиональных задач.
Владеет: системой объективной оценки художественно-творческой деятельности учащихся в образовательном процессе.
Профессиональная компетенция - (ПК-4)
Знает: возможности образовательной среды, в том числе информационной.
Умеет: управлять деятельностью помощников учителя и волонтеров, координировать деятельность социальных партнеров
Владеет: определяет и отбирает дидактический материал, необходимый для реализации программы «Изобразительное искусство» для учащихся общеобразовательной школы, способами ориентации в профессиональных источниках информации (журналы, сайты и т.д.)
Профессиональная компетенция - (ПК-5)
Знает: основные закономерности взаимодействия учителя с родителями, коллегами и социальными партнёрами для обеспечения качества учебно-воспитательного процесса.
Умеет: использовать различные формы, виды коммуникации в учебной и внеурочной деятельности.
Владеет: навыками коммуникации в учебно-воспитательном процессе.
Профессиональная компетенция - (ПК-6)
Знает: основные механизмы социализации личности.
Умеет: анализировать социальные и личностно значимые проблемы.
Владеет: способами организации сотрудничества обучающихся.
Профессиональная компетенция - (ПК-7)
Знает: здоровьесберегающие технологии в условиях учебно-воспитательного процесса.
Умеет: организовывать учебную и внеурочную деятельность с учётом профилактики здоровья обучающихся.
Владеет: способами предупреждения нарушений охраны здоровья обучающихся в учебно-воспитательном процессе.
Профессиональная компетенция - (ПК-8)
Знает: основные требования к разработке содержания образовательных программ, основные структурные элементы образовательных программ, требования к оформлению образовательных программ, особенности типовых, экспериментальных и авторских программ по изобразительному искусству.
Умеет: определять и формулировать содержание образовательной программы в области изобразительного искусства, разрабатывать ее структурные элементы.
Владеет: навыками разработки образовательной программы, отвечающей современным требованиям развития искусства.
Профессиональная компетенция - (ПК-9)
Знает: способы взаимодействия педагога с участниками культурно-просветительской деятельности.
Умеет: учитывать в культурно-просветительском процессе различные особенности учащихся.
Владеет: способами проектной и инновационной деятельности в области просвещения.
Профессиональная компетенция - (ПК-10)
Знает:тенденции развития мирового историко-педагогического процесса, особенности современного этапа развития образования в мире, основы просветительской деятельности.
Умеет:осуществлять педагогический процесс в различных возрастных группах, создавать педагогически-целесообразную и психологически безопасную образовательную среду
Владеет: способами пропаганды важности культуры в жизни общества, современными средствами поиска информации в сфере культуры и искусства.
Профессиональная компетенция - (ПК-11)
Знает: способы и методы организации культурно-просветительской деятельности.
Умеет: организовывать культурно-просветительскую деятельность в различных возрастных группах.
Владеет: способами взаимодействия с различными субъектами культурно-просветительской деятельности.
Специальная компетенция - (СК-2)
Знает: инструменты и техники живописи и графики, свойства живописных и графических материалов.
Умеет: применить на практике различные техники живописи и графики в работе над живописными, графическими, декоративно-прикладными произведениями, а также использовать эти знания в области дизайна и компьютерной графики.
Владеет: опытом художественно-творческой деятельности в области изобразительного искусства.
Специальная компетенция - (СК-3)
Знает: теорию реалистического изображения с натуры: теорию перспективы, композиции, теорию смешения цветов.
Умеет: применять различные техники живописи и графики в работе над натюрмортом, пейзажем, портретом, фигурой человека.
Владеет: навыками создания с натуры натюрморта, пейзажа, портрета, фигуры человека.
КОНТРОЛЬНО-ИЗМЕРИТЕЛЬНЫЕ МАТЕРИАЛЫ
Задания для текущего и промежуточного контроля
Текущий контроль по модулю осуществляется в форме проверки составления индивидуального плана работы на практике (1) – 9 семестр, 1 неделя, в форме проверки проведения открытого урока(2) – 9 семестр, 4-8 недели, в форме проверки проведения открытого внеклассного мероприятия (3) – 9 семестр, 2-8 недели, представление презентации (4) – 8 семестр, 8 неделя.
Промежуточный контроль в форме представления отчёта по педагогической практике (5) – 9 семестр, 8 неделя и защиты результатов практики на итоговой конференции (6) – 9 семестр, 9 неделя.
1.Проверка составления индивидуального плана работы (9 семестр, 1 неделя)
Индивидуальный план включает следующие параметры: содержание намеченной работы, срок выполнения, отметка о выполнении, оценка, роспись учителя и методиста (Приложение № 1).
1.2. Требования к составлению индивидуального плана работы
Индивидуальный план используется как форма текущего контроля и выполняется студентом в письменной форме. Индивидуальный план состоит из 6 разделов:
1.Организационная работа: знакомство с образовательным учреждением, администрацией, правилами внутреннего распорядка в образовательном учреждении, учителями предметниками, классными руководителями, психологической службой ОУ и т.д.;
2.Учебно-методическая работа: разработка поурочного планирования на период практики.
3.Внеклассная работа по предмету: разработка плана внеклассной работы по предмету (подготовка и проведение выставок детского рисунка, экскурсий в художественный музей, галереи; помощь в оборудовании кабинета изобразительного искусства; помощь по руководству занятиями кружка, факультатива; помощь в организации и проведении общешкольных праздников).
4.Воспитательная работа: составление плана воспитательной работы в классе.
5.Учебно-исследовательская работа: проведение педагогического анализа урока студента-практиканта или урока учителя-предметника, анализа детского рисунка, ведения протокола наблюдения за художественно-творческой деятельностью учащегося.
6.Научно-исследовательская работа: тестирование, разработка методических рекомендаций для учащихся.
1.3. Критерии оценки:
- знание основных разделов и определение основных пунктов плана;
- грамотное, логичное и последовательное изложение основного содержания индивидуального плана;
- точное использование терминологии;
- орфографическая и пунктуационная точность;
1.4. Шкала оценивания индивидуального плана работы:
1 балл - разделы индивидуального плана не раскрыты, обнаруживается существенное непонимание их структурного строения и содержания.
2 балла – задание выполнено не полностью, имеются недостатки в содержании и оформлении индивидуального плана. Содержание не раскрыто полностью. Неточное использование терминологии.
3 балла – задание выполнено, но имеются незначительные недостатки в содержании и оформлении индивидуального плана.
4 балла– задание выполнено полностью и в соответствии с требованиями к индивидуальному плану. Определены основные пункты плана, последовательно изложено основное содержание индивидуального плана.
2. Проведение открытого урока (9 семестр, 4-8 недели).
2.1. Требования к проведению открытого урока.
В период практики студент должен показать свою профессиональную компетентность, проявить интерес к работе, готовность к взаимодействию с будущими коллегами, сочетаемую с анализом собственной деятельности. Студент-практикант должен строить свою деятельность в соответствии с новыми тенденциями и современными технологиями; стремиться к выработке собственного стиля деятельности с учётом предоставляемых ему условий разумной профессиональной и образовательной автономности.
2.1.1. Этап подготовки студента-практиканта к уроку изобразительного искусства:
1.Определение места урока в системе уроков по изобразительному искусству.
2.Изучение методической литературы по теме урока.
3.Определение цели, разработка задач урока.
4.Определение образовательных результатов урока.
5.Разработка плана урока. Распределение учебного времени на отдельных этапах урока.
6.Разработка универсальных учебных действий учителя и ученика.
7.Разработка содержания урока и оформление его в подробном плане-конспекте.
8.Определение методов и приёмов обучения изобразительному искусству на каждом этапе урока.
9.Определение и отбор дидактического материала, необходимого для реализации цели и задач урока.
10.Изготовление наглядного пособия по рисунку, живописи, композиции, декоративно-прикладному искусству; подготовка мультимедийной презентации.
11.Разработка методики использования на уроке наглядного материала, педагогического рисунка.
12.Определение точек и способов контроля достижения планируемых образовательных результатов на уроке.
13.Определение уровня выполнения практического задания: учебное, учебно-творческое, творческое.
14.Определение критерий оценки практического задания.
15.Разработка организационной стороны самостоятельной работы учащихся на уроке и дома.
16.Определение критериев оценки компетентностных образовательных результатов, демонстрируемые учащимися по дисциплине.
17.Обсуждение с методистом разработанного материала урока.
Этот этап включает в основном самостоятельную деятельность студента-практиканта, поэтому важно, чтобы у него сформировалась объективная самооценка. Для этого студенту предлагается «Бланк самооценки подготовки к уроку изобразительного искусства
студента-практиканта» (Приложение № 2). Студент-практикант заполняет этот бланк и представляет его в отчёте вместе с планом-конспектом урока.
2.1.2. Этап проведения студентом-практикантом открытого урока изобразительного искусства:
Критерии оценки проведения студентом-практикантом открытого урока по изобразительному искусству:
1.Уровень подготовки к уроку.
2.Проведение организационного этапа урока.
3.Уровень объяснения теоретического материала (управление вниманием учащихся, смена видов внимания, причины отвлечения внимания).
4.Активность детей в освоении новых знаний (побуждение учащихся к анализу, сравнениям, самостоятельным выводам).
5.Уровень опроса и закрепления теоретического материала учащимися (узнавание, воспроизведение, запоминание учебного материала).
6.Оптимальность в использовании наглядного материала (объём материала, организация восприятия, развитие наблюдательности).
7.Уровень организации выполнения практического задания.
8.Уровень качества выполнения продуктов детского творчества.
9.Уровень сформированности мотивации учащихся к художественно-творческой деятельности (значимость и привлекательность изучаемого материала).
10.Уровень владения методикой воспитания на различных этапах урока.
11.Умение организовать детей на самостоятельную творческую деятельность в выполнении домашнего задания.
12.Умение развивать индивидуальные художественно-творческие способности.
13.Уровень творческого отношения к педагогической деятельности.
14.Уровень дисциплины; владение вниманием класса.
15.Такт учителя (доброжелательность, внимательность, требовательность), постановка речи (голос, интонация, мимика), стиль общения на уроке.
Шкала оценивания открытого урока по изобразительному искусству:
5 баллов выставляется, если студент набрал от 45 до 60 баллов,
4 балла - от 30 до 44 баллов, 3 балла - от 15 до 29 баллов,
2 балла - от 8 до 14 баллов, 1 балл – от 0 до 7 баллов.
Этот этап включает самостоятельную деятельность студента-практиканта и деятельность учащихся класса. Для оценки результатов урока предлагается «Бланк оценивания, проведённого студентом-практикантом открытого урока по изобразительному искусству» (Приложение № 3). Бланк заполняется методистом и включается в отчёт студента-практиканта. По итогам практики у студента будет возможность сравнить «Бланк самооценки» и «Бланк оценки» и сделать выводы об объективности его самокритики.
3. Проведение открытого внеклассного мероприятия (9 семестр, 2-8 недели).
3.1. Требования к проведению открытого внеклассного мероприятия.
В период практики студент должен показать свою профессиональную компетентность, проявить интерес к внеклассной работе, готовность к взаимодействию с учащимися. Студент-практикант должен строить свою внеклассную деятельность в соответствии с задачами расширения и углубления интереса обучающихся к искусству, к художественно-творческой деятельности.
3.1.1. Этап подготовки студента-практиканта к внеклассному мероприятию
1.Определение места внеклассного мероприятия в системе занятий.
2.Изучение методической литературы по теме внеклассного мероприятия.
3.Определение цели, разработка задач внеклассного мероприятия.
4.Определение образовательных результатов внеклассного мероприятия.
5.Разработка плана внеклассного мероприятия. Распределение учебного времени на отдельных этапах проведения внеклассного мероприятия.
6.Разработка ролей учителя и учеников.
7.Разработка содержания внеклассного мероприятия и оформление его в подробном плане-конспекте.
8.Определение приёмов работы на каждом этапе внеклассного мероприятия.
9.Определение и отбор наглядного материала, необходимого для реализации цели и задач внеклассного мероприятия.
10.Изготовление наглядного материала; подготовка мультимедийной презентации.
11.Разработка методики использования на внеклассном мероприятии наглядного материала.
12.Обсуждение с методистом разработанного материала внеклассного мероприятия.
Этот этап включает в основном самостоятельную деятельность студента-практиканта.
3.1.2. Этап проведения студентом-практикантом открытого внеклассного мероприятия.
Критерии оценки проведения студентом-практикантом открытого урока по изобразительному искусству:
1.Уровень подготовки к внеклассному мероприятию.
2.Проведение организационного этапа внеклассного мероприятия.
3.Уровень интереса к материалу у учащихся
4.Активность детей в освоении нового материала (побуждение учащихся к анализу, сравнениям, самостоятельным выводам).
5.Оптимальность в использовании наглядного материала (объём материала, организация восприятия, развитие наблюдательности).
6.Уровень организации выполнения практического задания.
7.Уровень качества выполнения продуктов детского творчества.
8.Уровень сформированности мотивации учащихся к художественно-творческой деятельности (значимость и привлекательность изучаемого материала).
9.Уровень владения методикой воспитания на различных этапах внеклассного мероприятия.
10.Умение организовать детей на самостоятельную творческую деятельность.
11.Умение развивать индивидуальные художественно-творческие способности.
12.Уровень творческого отношения к педагогической деятельности.
13.Уровень дисциплины; владение вниманием класса.
14.Такт учителя (доброжелательность, внимательность, требовательность), постановка речи (голос, интонация, мимика), стиль общения на внеклассном мероприятии.
Шкала оценивания открытого внеклассного мероприятия по изобразительному искусству:
5 баллов выставляется, если студент набрал от 42 до 56 баллов,
4 балла- от 28 до 41 баллов, 3 балла - от 14 до 27 баллов,
2 балла- от 8 до 13 баллов, 1 балл – от 0 до 7 баллов
Этот этап включает самостоятельную деятельность студента-практиканта и деятельность учащихся класса. Для оценки результатов внеклассного мероприятия предлагается «Бланк оценивания, проведённого студентом-практикантом открытого внеклассного мероприятия» (Приложение № 4). Бланк заполняется методистом и включается в отчёт студента-практиканта.
4. Задание практического характера – подготовка презентации, её защита (9 семестр, 8 неделя).
4.1. Темы презентаций:
1. Передовые технологии обучения и воспитания изобразительному искусству учителей-новаторов.
2. Творческий отчёт по итогам педагогической практики (уроки, внеклассные и воспитательные мероприятия).
3. Современные методы изучения индивидуальных и личностных способностей учащихся.
4. Содержание и результаты проведения урока изобразительного искусства (задачи, цели урока, мультимедийная презентация объяснения темы урока, детские рисунки, их анализ).
4.2. Требования к выполнению презентации.
Презентация должна наглядно и убедительно демонстрировать основные идеи, выводы, которые раскрывают одну из тем в области художественного образования. Весь подобранный материал должен соответствовать теме. Он должен быть структурирован по содержанию. Содержание должно раскрываться в кратком словесном выражении и в визуальном ряде. Ключевые слова в тексте выделяются. Мультимедийные эффекты должны быть уместно использованы. Композиционное и цветовое решение всех элементов должно быть уравновешенным.
4.3. Критерии оценки презентации.
0,5 баллов – допущены погрешности в отборе материала, грубые ошибки в его структурировании и написании. Зрительный ряд не раскрывает содержание темы.
1 балл – материал соответствует теме, но есть погрешности в структурировании и в написании текста. Зрительный ряд условный и только частично соотносится с темой презентации.
1,5 балла – материал соответствует теме, структурирован, выделены ключевые слова и фрагменты, неудачно применены мультимедийные эффекты;
2 баллов - материал соответствует теме, структурирован, выделены ключевые слова и фрагменты, уместно использованы мультимедийные эффекты, содержит дополнительные сведения, почерпнутые студентом из других источников.
4.4. Критерии оценки защиты презентации.
0,5 баллов – выступление не имеет логической последовательности, информация фрагментарна, не взаимосвязана в единую линию рассуждения, докладчик затруднялся в ответах на вопросы;
1 балл – выступление структурировано, отражает основные положения и выводы педагогической работы, докладчик ответил на большинство вопросов оппонента, но тема презентации раскрыта не до конца.
1,5 балла - студент демонстрирует общее представление об основных вопросах педагогической практики при защите презентации, но допускает отдельные неточности и нарушения логики в изложении материала. Отсутствуют собственные выводы и практические примеры.
2 балла – выступление структурировано, отражает основные положения и выводы педагогической работы, докладчик ответил на все вопросы оппонента; защита презентации проведена в соответствии с графиком; продемонстрировано свободное владение материалом.
Промежуточный контроль в форме задания практического характера – подготовки отчёта по педагогической практике и защиты его на итоговой конференции.
5. Отчёт по педагогической практике (9 семестр, 8 неделя) и его защита на итоговой конференции (9 семестр, 9 неделя).
5.1. Содержание отчёта по педагогической практике.
Форма и содержание отчётной документации студента-практиканта определяется в программе педагогической практики, составленной на основании требований ГОС ВПО.
Отчёт включает следующие документы
1.Индивидуальный план педагогической практики.
2.Конспекты уроков (три плана-конспекта урока).
3.Бланк оценивания, проведённого студентом-практикантом открытого урока по изобразительному искусству.
4.Бланк самооценки подготовки к уроку изобразительного искусства студентом-практикантом.
5.Конспект внеклассного мероприятия.
6.Бланк оценивания, проведённого студентом-практикантом открытого
внеклассного мероприятия.
7.Конспект воспитательного мероприятия.
8.Протокол наблюдения за художественно-творческой деятельностью учащегося.
9.Анализ детского рисунка.
10.Анализ урока однокурсника по специальным дисциплинам.
11.Детские работы (оригинальные рисунки, предметы декоративно-прикладного искусства, малую скульптуру).
12.Результаты и анализ психологического исследования.
13.Характеристика на студента учителя-предметника.
14.Дневник практиканта.
15.Отчет практиканта.
5.2. Основные требования к отчёту по педагогической практике.
В качестве одной из форм самостоятельной работы студентам предлагается подготовка отчёту по педагогической практике с последующей защитой его на итоговой конференции.
Отчёт представляет собой комплект документов, включающий результаты деятельности студента-практиканта на педагогической практике. Написание отчёта практикуется в учебном процессе в целях приобретения студентом необходимых в будущей профессиональной деятельности навыков и умений, а также развития умения и навыков самостоятельного научного анализа: обобщения материала практики, выделения главного, формулирования выводов. Процесс написания отчёта включает в себя: составление плана отчёта; написание текста отчётных документов, оформление их по установленной форме; устное изложение результатов и выводов по практике. Изложение материала должно быть кратким, точным, последовательным. Необходимо употреблять термины, свойственные данной науке, избегать непривычных понятий и символов. Рекомендуется включать в отчёт презентацию, схемы и таблицы, если они помогают раскрыть основное содержание отчёта. Объем отчёта – 40 - 50 страниц (шрифт 14, интервал 1,5, поля 2х2х2х2).
5.3. Критерии оценки отчёта:
1 балл – содержание отчёта не раскрыто, обнаруживается существенное непонимание целей и задач педагогической практики.
2 балла - имеются существенные отступления от требований к оформлению отчёта. В частности: деятельность студента-практиканта освещена лишь частично; допущены фактические ошибки в содержании отчёта, отсутствуют собственные выводы. В ходе защиты отчёта студент затруднялся в ответах на вопросы.
3 балла - основные требования к отчёту и его защите выполнены, но при этом допущены недочеты. В частности, имеются неточности в изложении материала; отсутствует логическая последовательность в суждениях; не выдержан объем отчёта; имеются упущения в оформлении.
4 балла - основные требования к отчёту и его защите выполнены, но при этом допущены недочеты. В частности, имеются неточности в изложении материала. Но выдержан объем отчёта, соблюдены требования к внешнему оформлению.
5 баллов -выполнены все требования к написанию отчёта: логично изложены и правильно оформлены все документы, сформулированы выводы, выдержан объем, соблюдены требования к внешнему оформлению, отчёт содержит наглядный материал, детские рисунки, презентации.
5.4. Требование к устному выступлению (защите) отчёта: устное изложение основных положений темы (10 мин.), исчерпывающие и точные ответы на вопросы преподавателей и студентов.
5.5. Критерии оценки защиты отчёта
1 балл – выступление не имеет логической последовательности, информация фрагментарная, не взаимосвязана в единую линию рассуждения, докладчик затруднялся в ответах на вопросы;
2 балла – выступление структурировано, отражает основные положения и выводы педагогической работы, докладчик ответил на большинство вопросов оппонента;
3 балла - студент демонстрирует общее представление об основных вопросах педагогической практики, но допускает отдельные неточности и нарушения логики в изложении материала. Отсутствуют собственные выводы и практические примеры.
4 балла – выступление структурировано, отражает основные положения и выводы педагогической работы, докладчик ответил на все вопросы оппонента; защита проведена в соответствии с графиком;
5 баллов – выступление структурировано, отражает основные положения и выводы педагогической работы, докладчик ответил на все вопросы оппонента; защита проведена в соответствии с графиком; продемонстрировано свободное владение материалом, выступление сопровождалось демонстрированием наглядного материала.
5.6. Основные критерии оценки результатов производственной (педагогической) практики.
1.Степень сформированности профессиональных умений у каждого студента.
2.Уровень теоретического осмысления студентами своей практической деятельности, её целей, задач, содержания, методов реализации.
3.Уровень профессиональной направленности интересов будущих специалистов, их активности, отношения к детям.
4.Уровень профессиональной культуры, способности к рефлексии.
Учет и оценку деятельности студентов 4 курса осуществляют групповые руководители совместно с учителем-предметником, классным руководителем, администрацией ОУ, методистами по педагогике и психологии.
Итоговая оценка складывается из следующих параметров:
- оценка за конспекты уроков;
- оценка за реализацию уроков (не менее 10 уроков);
- оценка за внеклассную работу по предмету;
- оценка за выполнение обязанностей классного руководителя;
- оценка за выполнение педагогического исследования;
- оценка за выполненное психологическое исследование;
- качество предоставленной отчетной и рабочей документации (дневник практики и отчет студента);
- характеристика на студента как предметника и как классного руководителя;
- отношение к практике.
При оценке результатов практики используются следующие методы: анализ документов студента по практике, наблюдение за студентом в ОУ в период практики, беседа с учителями и классным руководителем, анализ характеристик на студента и проч.
Критерии оценки
Оценка «отлично» - студент свободно владеет фактическим материалом, применяет различные формы и методы обучения на уроке Изобразительное искусство, умело организует различные внеклассные мероприятия, устанавливает контакт с учащимися, владеет методиками проведения психолого-педагогических исследований, грамотно анализирует свою педагогическую деятельность, дисциплинирован в поведении и сроках выполнения всех видов деятельности в период практики, своевременно отчитывается за практику.
Оценка «хорошо» - студент владеет фактическим материалом, испытывает трудности в выборе форм и методов обучения на уроке, затрудняется в самостоятельной организации внеклассной работы, испытывает трудности в общении с детьми, испытывает трудности в анализе психолого-педагогических исследований, затрудняется в полном и грамотном оформлении отчетной документации.
Оценка «удовлетворительно» - студент плохо знает фактический материал, не владеет методиками проведения уроков, допускает грубые фактические и методические ошибки, готовит формальные конспекты уроков, внеклассных и воспитательных мероприятий, не качественно выполняет психолого-педагогическое исследование (проводит анкетирование, а анализ формальный), отчетная документация оформлена не должным образом.
Оценка «неудовлетворительно» - студент пропустил урок без уважительной причины, не готовит конспекты уроков и мероприятий, не выполнил психолого-педагогическое исследование, не подготовил отчетную документацию.
Примечание:общая оценка по дисциплине выставляется с учетом количества баллов, набранных студентом по результатам текущего и промежуточного контроля.
ПЛАН-ГРАФИК ПРОВЕДЕНИЯ КОНТРОЛЬНО-ОЦЕНОЧНЫХ МЕРОПРИЯТИЙ
Контрольно-оценочные мероприятия проводятся в 8 семестре в форме проверки составления индивидуального плана работы на практике (1 неделя), в форме проверки проведения открытого урока (4-8 недели), в форме проверки проведения открытого внеклассного мероприятия (2-8 недели), представление презентации (8 неделя).
Промежуточный контроль в форме представления отчёта по педагогической практике (8 неделя) и защиты результатов практики на итоговой конференции (9 неделя).
РЕКОМЕНДАЦИИ ПО ОБНОВЛЕНИЮ ФОС
ФОС рекомендуется обновлять регулярно с учетом изменений в технологии, процедурах оценивания.
Приложение № 1
Индивидуальный план педагогической практики
студента-практиканта____________________курса_____уч.года_________
школа__________класс________
| № | Содержание намеченной работы | Срок выпол. | Отметка о выпол | оценка | Роспись учителя и методиста |
| Организационная работа | |||||
| 1.1.Знакомство с образовательным учреждением | |||||
| 1.2. | |||||
| Учебно-методическая работа | |||||
| 2.1. Тема урока «Уборка урожая» | |||||
| 2.2. | |||||
| Внеклассная работа | |||||
| 3.1.Экскурсия в художест-венный музей | |||||
| 3.2. | |||||
| Воспитательная работа | |||||
| 4.1.Классный час «Моя будущая профессия – учитель» | |||||
| 4.2. | |||||
| Учебно-исследовательская работа | |||||
| 5.1. Анализа урока студента-практиканта | |||||
| 5.2. | |||||
| Научно-исследовательская работа | |||||
| 6.1. Тестирование учащихся 3 классов | |||||
Приложение № 3
Бланк оценивания,
проведённого студентом-практикантом открытого урока по изобразительному искусству
| Ф.И.О. студента | |||
| Школа №_____ | Класс: | Дата:_______201__г. | Оценка:__________ |
| Тема урока | |||
| Ф.И.О. учителя | |||
| Ф.И.О. методиста |
| № | Критерии оценки | Баллы | ||||
| Уровень подготовки к уроку. | ||||||
| Проведение организационного этапа урока. | ||||||
| Уровень объяснения теоретического материала (управление вниманием учащихся, смена видов внимания, причины отвлечения внимания). | ||||||
| Активность детей в освоении новых знаний. | ||||||
| Уровень опроса и закрепления теоретического материала учащимися (узнавание, воспроизведение, запоминание учебного материала). | ||||||
| Оптимальность в использовании наглядного материала.(объём материала, организация восприятия, развитие наблюдательности). | ||||||
| Уровень организации выполнения практического задания. | ||||||
| Уровень качества выполнения продуктов детского творчества. | ||||||
| Уровень формирования мотивации учащихся к художественно-творческой деятельности (значимость и привлекательность изучаемого материала). | ||||||
| Уровень владения методикой воспитания на различных этапах урока. | ||||||
| Умение организовать детей на самостоятельную творческую деятельность в выполнении домашнего задания. | ||||||
| Умение развивать индивидуальные художественно-творческие способности. | ||||||
| Уровень творческого отношения к педагогической деятельности. | ||||||
| Уровень дисциплины; владение вниманием класса. | ||||||
| Такт учителя (доброжелательность, внимательность, требовательность), постановка речи (голос, интонация, мимика), стиль общения на уроке. | ||||||
| Всего баллов: | ||||||
| 5 баллов - от 45 до 60 баллов, 4 балла - от 30 до 44 баллов, 3 балла - от 15 до 29 баллов, 2 балла - от 8 до 14 баллов, 1 балл – от 0 до 7 баллов. |
Приложение № 2
Бланк самооценки подготовки к уроку изобразительного искусства
студентом-практикантом
| Ф.И.О. студента | |||
| Школа №_____ | Класс: | Дата:_______201__г. | Оценка:__________ |
| Тема урока | |||
| Ф.И.О. учителя | |||
| Ф.И.О. методиста |
| № | Критерии оценки | Баллы | ||||
| Определение места урока в системе уроков по изобразительному искусству. | ||||||
| Изучение методической литературы по теме урока. | ||||||
| Определение цели, разработка задач урока. | ||||||
| Определение образовательных результатов урока. | ||||||
| Разработка плана урока. Распределение учебного времени на отдельных этапах урока. | ||||||
| Разработка универсальных учебных действия учителя и ученика. | ||||||
| Разработка содержания урока и оформление его в подробном плане-конспекте. | ||||||
| Определение методов и приёмов обучения изобразительному искусству на каждом этапе урока. | ||||||
| Определение и отбор дидактического материала, необходимого для реализации цели и задач урока. | ||||||
| Изготовление наглядного пособия по рисунку, живописи, композиции, декоративно-прикладному искусству; подготовка мультимедийной презентации. | ||||||
| Разработка методики использования на уроке наглядного материала, педагогического рисунка. | ||||||
| Определение точек и способов контроля достижения планируемых образовательных результатов по уроку. | ||||||
| Определение уровня выполнения практического задания: учебное, учебно-творческое, творческое. | ||||||
| Определение критерий оценки практического задания. | ||||||
| Разработка организационной стороны самостоятельной работы учащихся на уроке и дома. | ||||||
| Определение критериев оценки компетентностных образовательных результатов, демонстрируемые учащимися по дисциплине. | ||||||
| Обсуждение с методистом разработанного материала урока. | ||||||
| Всего баллов: | ||||||
| Оценка «отлично» - от 51 до 68 баллов; «хорошо» - от 34 до 50 баллов; «удовлетворительно» - от 17 до 33 баллов;«неудовлетворительно» - от 0 до 16 баллов. |
Приложение № 4
Бланк оценивания,
проведённого студентом-практикантом, открытого
внеклассного мероприятия
| Ф.И.О. студента | |||
| Школа №_____ | Класс: | Дата:_______201__г. | Оценка:__________ |
| Тема внеклассного мероприятия | |||
| Ф.И.О. учителя | |||
| Ф.И.О. методиста |
| № | Критерии оценки | Баллы | ||||
| Уровень подготовки к внеклассному мероприятию. | ||||||
| Проведение организационного этапа внеклассного мероприятия. | ||||||
| Уровень интереса к материалу у учащихся | ||||||
| Активность детей в освоении нового материала (побуждение учащихся к анализу, сравнениям, самостоятельным выводам). | ||||||
| Оптимальность в использовании наглядного материала (объём материала, организация восприятия, развитие наблюдательности). | ||||||
| Уровень организации выполнения практического задания. | ||||||
| Уровень качества выполнения продуктов детского творчества | ||||||
| Уровень формирования мотивации учащихся к художественно-творческой деятельности (значимость и привлекательность изучаемого материала). | ||||||
| Уровень владения методикой воспитания на различных этапах внеклассного мероприятия. | ||||||
| Умение организовать детей на самостоятельную творческую деятельность. | ||||||
| Умение развивать индивидуальные художественно-творческие способности. | ||||||
| Уровень творческого отношения к педагогической деятельности. | ||||||
| Уровень дисциплины; владение вниманием класса. | ||||||
| Такт учителя (доброжелательность, внимательность, требовательность), постановка речи (голос, интонация, мимика), стиль общения на уроке. | ||||||
| Всего баллов: | ||||||
| 5 баллов - от 42 до 56 баллов, 4 балла - от 28 до 41 баллов, 3 балла - от 14 до 27 баллов, 2 балла - от 8 до 13 баллов, 1 балл – от 0 до 7 баллов |
Приложение № 5
МИНОБРНАУКИ РОССИИ
федеральное государственное бюдж






