6.3.1 Площадь равновеликого поперечного сечения зубцов

6.3.2 Уточненная магнитная индукция в зубцах

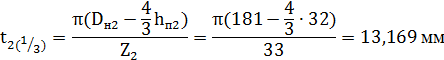
Зубцовое деление на
высоты зубца

Коэффициент зубцов

6.3.3 Напряженность магнитного поля
Нз2 = 200 А/см.
6.3.4 Средняя длина пути магнитного потока
l 32 = h п2−0,2 r 2 = 32−0,2·2,45 = 31,5 мм.
6.3.5 МДС для зубцов
F з2 = 0,1 Н з2· l з2 = 0,1·200·31,5 = 630,2 А.






