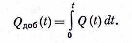
1) По известной зависимости Q = Q(t) определяется изменение во времени добытого количества газа:

2) По уравнению материального баланса газовой залежи для реального газа определяю зависимость изменения во времени среднего пластового давления, используя метод итераций:

где
- начальное пластовое давление, МПа;
- коэффициент сверхсжимаемости газа при начальном пластовом давлении и пластовой температуре;
- начальные запасы газа, м3;
- коэффициент сверхсжимаемости газа при текущем среднем пластовом давлении и пластовой температуре;
3) Определяю зависимость изменения во времени забойного давления:
,
где
- депрессия на пласт, МПа;
4) Определяю дебит «средней» скважины, используя решение уравнения притока реального газа к забою скважины:

где
;
;
;
— коэффициенты динамической вязкости газа при Tпл и соответственно при давлениях р и рат;
и
— величины произведения
соответственно при контурном (пластовом) и забойном давлении.
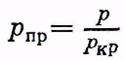
— приведенное давление;
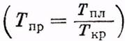
— коэффициенты, зависящие от приведенной температуры
.
5) Определяю устьевое давление по формуле Адамова:
, где параметры
и
определяются по формулам (2.17) и (2.18) соответственно.
6) Определяю потребное число скважин, исходя из равномерной работы всех скважин в течение 310 дней в году и учитывая коэффициент резерва:
,
где Q(t) – годовой отбор газа из месторождения, м3;
q(t) – среднесуточный дебит одной скважины в момент времени t, м3/сут;
Кр – коэффициент резерва, принимаемый 1,2.
Затем рассчитывается Ту, а потом Р и Т на входе в УКПГ(установку комплексной подготовки газа)
Для ВНР еще рассчитывается

Qв- количества воды внедрившейся в залежь за время t.

Rз-радиус укрупненной скважины

В зависимости от f0 и от того какой пласт (конечных или бесконечных размеров), находим Q(f0) из графика:
Пласт конечных размеров


Rз – радиус укрупненной скважины
k, h - коэффициент проницаемости и эффективная мощность водоносной части пласта.
f0 – параметр Фурье
Х – гидропроводность пласта






