Определить общую экономическую эффективность капитальных вложений для строительства нового цеха, если капитальные вложения на единицу продукции КВ = 8 р./ед., себестоимость единицы продукции С = 16 р./ед., цена оптовая предприятия Цопт = 20 р., годовой объём производства Q = 10 000 ед., рентабельность предприятия Rпр = 0,2.
Решение:
Экономическая эффективность капитальных вложений – это результат внедрения соответствующего мероприятия, который может быть выражен экономией от снижения себестоимости продукции, ростом или приростом прибыли, приростом национального дохода.
Общая, или абсолютная, эффективность капитальных вложений – это отношение экономического эффекта к единовременным затратам, обеспечивающим этот эффект. Данный показатель рассчитывается с целью определения эффекта от внедрения нововведения.
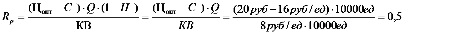
Для промышленных новостроек абсолютная экономическая эффективность Rp, может быть рассчитана по формуле:

Где Цi – оптовая цена i-й номенклатуры продукции;
Сi – себестоимость i-й единицы продукции;
|
|
|
Qi – годовой объем производства i-й номенклатуры продукции;
Hi – ставка налога для i-ой номенклатуры продукции, в долях единицы;
КВ – капитальные вложения.
Капитальные вложения на строительство цеха: =
= 80 тыс. руб.
Себестоимость продукции годового объема: =
= 160 тыс. руб.
Выручка от реализации: РП =
= 200 тыс. руб.
Прибыль от реализации: = 200тыс. руб. – 160 тыс. руб. = 40 тыс. руб.
Расчетный коэффициент эффективности (рентабельности):
.
Ответ: 0,5