1. Движения двух велосипедистов заданы уравнениями: X=5t, X2 =150—10t. Построить графики зависимости x(t). Найти время и место встречи.


2. При аварийном торможении автомобиль, движущийся со скоростью 72 км/ч, остановился через 5 с. Найти тормозной путь.


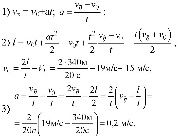
3. Поезд, двигаясь под уклон, прошел за 20 с путь 340 м и развил скорость 19м/с. С каким ускорением двигался поезд и какой была скорость в начале уклона?

4. Движения двух автомобилей по шоссе заданы уравнениями x1=2t+0,2t2 и X2=80-4t. Описать картину движения; найти время и место встречи автомобилей, расстояние между ними через 5 с, координату первого автомобиля в тот момент времени, когда второй находился в начале отсчета.
5. С какой скоростью автомобиль должен проходить середину выпуклого моста радиусом 40 м, чтобы центростремительное ускорение равнялось ускорению свободного падения?
R = 40 м Центростремительное ускорение равно
__________ aц =
. По условию задачи aц = g
V -? Тогда
=
= 20 м/c = 72 км/ч
6. Вагон массой 20 т, движущийся со скоростью 0,3 м/с, нагоняет вагон массой 30 т, движущийся со скоростью 0,2 м/с. Какова скорость вагонов после взаимодействия, если удар не упругий? M1v+m2v=m1+m2)V
|
|
|
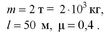
7. Автомобиль массой 2 т затормозил и остановился, пройдя путь 50 м. Найти работу силы трения и изменение кинетической, энергии автомобиля, если дорога горизонтальна, а коэффициент трения равен 0,4.



8. Найти концентрацию молекул кислорода, если давление его 0,2 МПа, а средняя квадратичная скорость молекул равна 700 м/с.

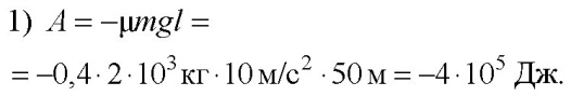
9. Во сколько раз средняя квадратичная скорость молекул воздуха в летний день при температуре 30 °С больше, чем в зимний день при температуре —30 °

10.
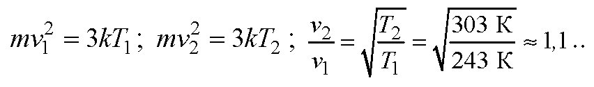
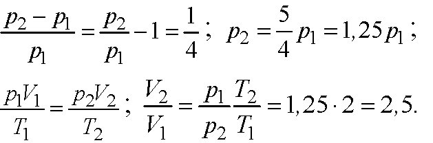
При увеличении абсолютной температуры идеального газа в 2 раза давление газа увеличилось на 25%. Во сколько раз при этом изменился объем?

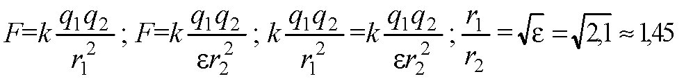
11. В закрытом сосуде находится газ под давлением 500 кПа. Какое давление установится в этом сосуде, если после открытия крана 4/5 массы газа выйдет наруж у?


12. Какую работу совершают 320 г кислорода при изобарном нагревании на 10 К?
A=m/M*R(T2-T1)
m=0.32 кг
M=0.032
A=0.32/0.032 *8.31*10=831 Дж
13. Найти КПД тракторного двигателя, который развивает мощность 110 кВт и расходует в час 28 кг дизельного топлива.
14. КПД=(Аполезн\Азатрач)*100%
15. N=110Вт* 10³=110000*3600с= 396*10⁶Дж
16. Азатрач=qm=42*10⁶*28=1176*10⁶Дж
17. 1ч=3600с Аполезн=396*10⁶
18. q=42*10⁶ КПД= (396*10⁶\1176*10⁶)*100%=~33%
19. В основании равностороннего треугольника со стороной а находятся заряды по +q каждый, а в вершине заряд -q. Найти напряженность поля в центре треугольника.
20. Во сколько раз надо изменить расстояние между двумя зарядами, чтобы при погружении их в керосин сила взаимодействия между ними была такая же, как в воздухе?

21. Во сколько раз изменится энергия конденсатора при увеличении напряжения на нем в 4 раза?
|
|
|
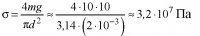
22. К закрепленной одним концом проволоке диаметром 2 мм подвешен груз массой 10 кг. Найти механическое напряжение в проволоке.

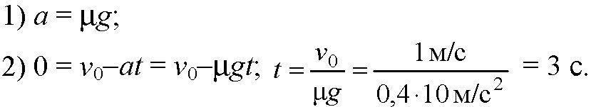
23. Через сколько времени после начала аварийного торможения остановится автобус, движущийся со скоростью 12 м/с, если коэффициент трения при аварийном торможении равен 0,4?

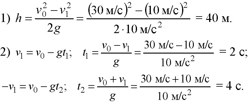
24. Тело брошено вертикально вверх со скоростью 30 м/с. На какой высоте и через сколько времени скорость тела (по модулю) будет в 3 раза меньше, чем в начале подъема?
Дано:
v0 = 30 м/с; v1 = 10 м/с.
Найти: h, t1, t2.

25. При свободном падении первое тело находилось в полете в 2 раза больше времени, чем второе. Сравнить конечные скорости тел и их перемещения.
Т1=2Т2 - по условию
формулы:
Скорость - V=V0+gt, так как начальной скорости не было, то V=gt
V1=gT1=g2T2, V2=gT2
V1/V2=g2T2/gT2=2, скорость первого в два раза больше.
Перемещение - S=gt2/2
S1=gT1^2/2=g4T2^2/2, S2=gT2^2/2
S1/S2=g4T2^2/2:gT2^2/2=4, перемещение первого в два раза больше.
Ответ: V1=2V2, S1=4S2






