
§ 162. Дифференциальное уравнение электромагнитной волны
Как уже указывалось (см. § 161), одним из важнейших следствий уравнений Максвелла (см. § 139) является существование электромагнитных воли. Можно показать, что для однородной и изотропной среды вдали от зарядов и токов, создающих электромагнитное поле, из уравнений Максвелла следует, что векторы напряженностей Е и Н переменного электромагнитного поля удовлетворяют волновому уравнению типа (154.9):
(162.1)
(162.2)
где
— оператор Лапласа, v — фазовая скорость.
Всякая функция, удовлетворяющая уравнениям (162.1) и (162.2), описывает некоторую волну. Следовательно, электромагнитные поля действительно могут существовать в виде электромагнитных волн. Фазовая скорость электромагнитных воли определяется выражением
(162.3)
где с =
,
и
— соответственно электрическая и магнитная постоянные, e и m — соответственно электрическая и магнитная проницаемости среды.
В вакууме (при e =1 и m =l) скорость распространения электромагнитных волн совпадает со скоростью с. Так как em > 1, то скорость распространения электромагнитных воли в веществе всегда меньше, чем в вакууме.
При вычислении скорости распространения электромагнитного поля по формуле (162.3) получается результат, достаточно хорошо совпадающий с экспериментальными данными, если учитывать зависимость e и m от частоты. Совпадение же размерного коэффициента в (162.3) со скоростью распространения света в вакууме указывает на глубокую связь между электромагнитными и оптическими явлениями, позволившую Максвеллу создать электромагнитную теорию света, согласно которой свет представляет собой электромагнитные волны.
Следствием теории Максвелла является поперечность электромагнитных волн: векторы Е и Н напряженностей электрического и магнитного полей волны взаимно перпендикулярны (на рис. 227 показана моментальная «фотография» плоской электромагнитной волны) и лежат в плоскости, перпендикулярной вектору v скорости распространения волны, причем векторы Е, Н и v образуют правовинтовую систему. Из уравнений Максвелла следует также, что в электромагнитной волне векторы Е и Н всегда колеблются в одинаковых фазах (см. рис. 227), причем мгновенные значения Е и Н в любой точке связаны соотношением
(162.4)

Следовательно, Е и Н одновременно достигают максимума, одновременно обращаются в нуль и т. д. От уравнений (162.1) и (162.2) можно перейти к уравнениям
(162.5)
(162.6)
где соответственно индексы у и z при Е и Н подчеркивают лишь то, что векторы Е и Н направлены вдоль взаимно перпендикулярных осей y и z.
Уравнениям (162.5) и (162.6) удовлетворяют, в частности, плоские монохроматические электромагнитные волны (электромагнитные волны одной строго определенной частоты), описываемые уравнениями
(162.7)
(162.8)
где E 0 и Н 0 — соответственно амплитуды напряженностей электрического и магнитного полей волны, w — круговая частота волны, k=w/v — волновое число, j — начальные фазы колебаний в точках с координатой х= 0. В уравнениях (162.7) и (162.8) j одинаково, так как колебания электрического и магнитного векторов в электромагнитной волне происходят в одинаковых фазах.
§ 163. Энергия электромагнитных волн. Импульс электромагнитного поля
Возможность обнаружения электромагнитных воли указывает на то, что они переносят энергию. Объемная плотность w энергии электромагнитной волны складывается из объемных плотностей w эл (см. (95.8)) и w м, (см. (130.3)) электрического и магнитного полей:

Учитывая выражение (162.4), получим, что плотности энергии электрического и магнитного полей в каждый момент времени одинаковы, т. е. w эл = w м. Поэтому

Умножив плотность энергии w на скорость v распространения волны в среде (см. (162.3)), получим модуль плотности потока энергии:

Tax как векторы Е и Н взаимно перпендикулярны и образуют с направлением распространения волны правовинтовую систему, то направление вектора [ ЕН ] совпадает с направлением переноса энергии, а модуль этого вектора равен ЕН. Вектор плотности потока электромагнитной энергии называется вектором Умова — Пойнтинга:

Вектор S направлен в сторону распространения электромагнитной волны, а его модуль равен энергии, переносимой электромагнитной волной за единицу времени через единичную площадку, перпендикулярную направлению распространения волны.
Если электромагнитные волны поглощаются или отражаются телами (эти явления подтверждены опытами Г. Герца), то из теории Максвелла следует, что электромагнитные волны должны оказывать на тела давление. Давление электромагнитных волн объясняется тем, что под действием электрического поля волны заряженные частицы вещества начинают упорядоченно двигаться и подвергаются со стороны магнитного поля волны действию сил Лоренца. Однако значение этого давления ничтожно мало. Можно оценить, что при средней мощности солнечного излучения, приходящего на Землю, давление для абсолютно поглощающей поверхности составляет примерно 5 мкПа. В исключительно тонких экспериментах, ставших классическими, П. Н. Лебедев в 1899 г. доказал существование светового давления на твердые тела, а в 1910 г. — на газы. Опыты Лебедева имели огромное значение для утверждения выводов теории Максвелла о том, что свет представляет собой электромагнитные волны.
Существование давления электромагнитных воли приводит к выводу о том, что электромагнитному полю присущ механический импульс. Импульс электромагнитного поля

где W — энергия электромагнитного поля. Выражая импульс как р=тс (поле в вакууме распространяется со скоростью с), получим р=тс= W/c, откуда
(163.1)
Это соотношение между массой и энергией электромагнитного поля является универсальным законом природы (см. также § 40). Согласно специальной теории относительности, выражение (163.1) имеет общее значение и справедливо для любых тел независимо от их внутреннего строения.
Таким образом, рассмотренные свойства электромагнитных волн, определяемые теорией Максвелла, полностью подтверждаются опытами Герца, Лебедева и выводами специальной теории относительности, сыгравшими решающую роль для подтверждения и быстрого признания этой теории.

§ 164. Излучение диполя. Применение электромагнитных волн
Простейшим излучателем электромагнитных волн является электрический диполь, электрический момент которого изменяется во времени по гармоническому закону

где р 0 — амплитуда вектора р. Примером подобного диполя может служить система, состоящая из покоящегося положительного заряда + Q и отрицательного заряда –Q, гармонически колеблющегося вдоль направления р с частотой w.
Задача об излучении диполя имеет в теории излучающих систем важное значение, так как всякую реальную излучающую систему (например, антенну) можно рассчитывать рассматривая излучение диполя. Кроме того, многие вопросы взаимодействия излучения с веществом можно объяснить на основе классической теории, рассматривая атомы как системы зарядов, в которых электроны совершают гармонические колебания около их положений равновесия.
Характер электромагнитного поля диполя зависит от выбора рассматриваемой точки. Особый интерес представляет так называемая волновая зона диполя — точки пространства, отстоящие от диполя на расстояниях r, значительно превышающих длину волны (r >> l), — так как в ней картина электромагнитного поля диполя сильно упрощается. Это связано с тем, что в волновой зоне диполя практически остаются только «отпочковавшиеся» от диполя, свободно распространяющиеся поля, в то время как поля, колеблющиеся вместе с диполем и имеющие более сложную структуру, сосредоточены в области расстояний r < l.
Если волна распространяется в однородной изотропной среде, то время прохождения волны до точек, удаленных от диполя на расстояние r, одинаково. Поэтому во всех точках сферы, центр которой совпадает с диполем, фаза колебаний одинакова, т. е. в волновой зоне волновой фронт будет сферическим и, следовательно, волна, излучаемая диполем, есть сферическая волна.
В каждой точке векторы Е и Н колеблются по закону cos(wt—kr), амплитуды этих векторов пропорциональны (1/ r) sin q (для вакуума), т. е. зависят от расстояния r до излучателя и угла q между направлением радиуса-вектора и осью диполя. Отсюда следует, что интенсивность излучения диполя в волновой зоне
(164.1)
Зависимость (164.1) I от q при заданном значении r, приводимая в полярных координатах (рис. 228), называется диаграммой направленности излучения диполя. Как видно из выражения (164.1) и приведенной диаграммы, диполь сильнее всего излучает в направлениях, перпендикулярных его оси (q = p /2). Вдоль своей оси (q =0 и q = p) диполь не излучает вообще. Диаграмма направленности излучения диполя позволяет формировать излучение с определенными характеристиками и используется при конструировании антенн.

Впервые электромагнитные волны были использованы через семь лет после опытов Герца. 7 мая 1895 г. преподаватель физики офицерских минных классов А. С. Попов (1859—1906) на заседании Русского физико-химического общества продемонстрировал первый в мире радиоприемник, открывший возможность практического использования электромагнитных волн для беспроволочной связи, преобразившей жизнь человечества. Первая переданная в мире радиограмма содержала лишь два слова: «Генрих Герц». Изобретение радио Поповым сыграло огромную роль для распространения и развития теории Максвелла.
Электромагнитные волны сантиметрового и миллиметрового диапазонов, встречая на своем пути преграды, отражаются от них. Это явление лежит в основе радиолокации — обнаружения предметов (например, самолетов, кораблей и т. д.) на больших расстояниях и точного определения их положения. Помимо этого, методы радиолокации используются для наблюдения прохождения и образования облаков, движения метеоритов в верхних слоях атмосферы и т. д.
Для электромагнитных волн характерно явление дифракции — огибания волнами различных препятствий. Именно благодаря дифракции радиоволн возможна устойчивая радиосвязь между удаленными пунктами, разделенными между собой выпуклостью Земли. Длинные волны (сотни и тысячи метров) применяются в фототелеграфии, короткие волны (несколько метров и меньше) применяются в телевидении для передачи изображений на небольшие расстояния (немногим больше пределов прямой видимости). Электромагнитные волны используются также в радиогеодезии для очень точного определения расстояний с помощью радиосигналов, в радиоастрономии для исследования радиоизлучения небесных тел и т. д. Полное описание применения электромагнитных волн дать практически невозможно, так как нет областей науки и техники, где бы они не использовались.
Задачи
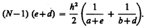
20.1. Электромагнитная волна с частотой 4 МГц переходит из немагнитной среды с диэлектрической проницаемостью e =3 в вакуум. Определить приращение ее длины волны. [31,7 м]
20.2. Два параллельных провода, одни концы которых изолированы, а другие индуктивно соединены с генератором электромагнитных колебаний, погружены в спирт. При соответствующем подборе частоты колебаний в системе возникают стоячие волны. Расстояние между двумя узлами стоячих волн на проводах равно 0,5 м. Принимая диэлектрическую проницаемость спирта e = 26, а его магнитную проницаемость m =1, определить частоту колебаний генератора. [58,8 МГц]
20.3. В вакууме вдоль оси х распространяется плоская электромагнитная волна. Амплитуда напряженности электрического поля волны составляет 18,8 В/м. Определить интенсивность волны, т.е. среднюю энергию, приходящуюся за единицу времени на единицу площади, расположенной перпендикулярно направлению распространения волны. [0,47 Вт/м2]
5 ОПТИКА. КВАНТОВАЯ ПРИРОДА ИЗЛУЧЕНИЯ
Глава 21 Элементы геометрической и электронной оптики
§ 165. Основные законы оптики. Полное отражение
Еще до установления природы света были известны следующие основные законы оптики: закон прямолинейного распространения света в оптически однородной среде; закон независимости световых пучков (справедлив только в линейной оптике); закон отражения света; закон преломления света.
Закон прямолинейного распространения света: свет в оптически однородной среде распространяется прямолинейно.
Доказательством этого закона является наличие тени с резкими границами от непрозрачных предметов при освещении их точечными источниками света (источники, размеры которых значительно меньше освещаемого предмета и расстояния до него). Тщательные эксперименты показали, однако, что этот закон нарушается, если свет проходит сквозь очень малые отверстия, причем отклонение от прямолинейности распространения тем больше, чем меньше отверстия.
Закон независимости световых пучков: эффект, производимый отдельным пучком, не зависит от того, действуют ли одновременно остальные пучки или они устранены. Разбивая световой поток на отдельные световые пучки (например, с помощью диафрагм), можно показать, что действие выделенных световых пучков независимо.
Если свет падает на границу раздела двух сред (двух прозрачных веществ), то падающий луч I (рис. 229) разделяется на два — отраженный II и преломленный III, направления которых задаются законами отражения и преломления.
Закон отражения: отраженный луч лежит в одной плоскости с падающим лучом и перпендикуляром, проведенным к границе раздела двух сред в точке падения; угол i '1 отражения равен углу i 1 падения:

Закон преломления: луч падающий, луч преломленный и перпендикуляр, проведенный к границе раздела в точке падения, лежат в одной плоскости; отношение синуса угла падения к синусу угла преломления есть величина постоянная для данных сред:
(165.1)
где n 21 — относительный показатель преломления второй среды относительно первой. Индексы в обозначениях углов i 1, i '1, i 2 указывают, в какой среде (первой или второй) идет луч.
Относительный показатель преломления двух сред равен отношению их абсолютных показателей преломления:
(165.2)
Абсолютным показателем преломления среды называется величина n, равная отношению скорости c электромагнитных волн в вакууме к их фазовой скорости v в среде:
(165.3)
Сравнение с формулой (162.3) дает, что
, где e и m — соответственно электрическая и магнитная проницаемости среды. Учитывая (165.2), закон преломления (165.1) можно записать в виде
(165.4)
Из симметрии выражения (165.4) вытекает обратимость световых лучей. Если обратить луч III (рис.229), заставив его падать на границу раздела под углом i 2, то преломленный луч в первой среде будет распространяться под углом i 1, т. е. пойдет в обратном направлении вдоль луча I.
Если свет распространяется из среды с большим показателем преломления n 1 (оптически более плотной) в среду с меньшим показателем преломления n 2 (оптически менее плотную) (n 1> n 2), например из стекла в воду, то, согласно (165.4),

Отсюда следует, что преломленный луч удаляется от нормали и угол преломления i 2 больше,чем угол падения i 1 (рис. 230, а).С увеличением угла падения увеличивается угол преломления (рис. 230, б, в) до тех пор, пока при некотором угле падения (i 1= i пр) угол преломления не окажется равным p /2. Угол i пр называется предельным углом. При углах падения i 1> i пр весь падающий свет полностью отражается (рис. 230, г).
По мере приближения угла падения к предельному интенсивность преломленного луча уменьшается, а отраженного — растет (рис. 230, а—в). Если i 1= i пр, то интенсивность преломленного луча обращается в нуль, а интенсивность отраженного равна интенсивности падающего (рис. 230, г). Таким образом, при углах падения в пределах от i пр до p /2 луч не преломляется, а полностью отражается в первую среду, причем интенсивности отраженного и падающего лучей одинаковы. Это явление называется полным отражением.

Предельный угол i пр определим из формулы (165.4) при подстановке в нее i 2= p /2.
Тогда
(165.5)
Уравнение (165.5) удовлетворяет значениям угла i пр при n 2£ n 1. Следовательно, явление полного отражения имеет место только при падении света из среды оптически более плотной в среду оптически менее плотную.
Явление полного отражения используется в призмах полного отражения Показатель преломления стекла равен n» 1,5, поэтому предельный угол для границы стекло — воздух равен i пр=arcsin(1/1,5)=42°. Поэтому при падении света на границу стекло—воздух при i > 42° всегда будет иметь место полное отражение. На рис. 231, а—в показаны призмы полного отражения, позволяющие: а) повернуть луч на 90°; б) повернуть изображение; в) обернуть лучи. Такие призмы применяются в оптических приборах (например, в биноклях, перископах), а также в рефрактометрах, позволяющих определять показатели преломления тел (по закону преломления, измеряя i пр, находим относительный показатель преломления двух сред, а также абсолютный показатель преломления одной из сред, если показатель преломления другой среды известен).

Явление полного отражения используется также в световодах (светопроводах), представляющих собой тонкие, произвольным образом изогнутые нити (волокна) из оптически прозрачного материала. В волоконных деталях применяют стеклянное волокно, световедущая жила (сердцевина) которого окружается стеклом — оболочкой из другого стекла с меньшим показателем преломления. Свет, падающий на торец световода под углами, большими предельного, претерпевает на поверхности раздела сердцевины и оболочки полное отражение н распространяется только по световедущей жиле.
Таким образом, с помощью световодов можно как угодно искривлять путь светового пучка. Диаметр световедущих жил лежит в пределах от нескольких микрометров до нескольких миллиметров. Для передачи изображений, как правило, применяются многожильные световоды. Вопросы передачи световых волн и изображений изучаются в специальном разделе оптики — волоконной оптике, возникшей в 50-е годы XX столетия. Световоды используются в электронно-лучевых трубках, в электронно-счетных машинах, для кодирования информации, в медицине (например, диагностика желудка), для целей интегральной оптики и т. д.
§ 166. Тонкие линзы. Изображение предметов с помощью линз
Раздел оптики, в котором законы распространения света рассматриваются на основе представления о световых лучах, называется геометрической оптикой. Под световыми лучами понимают нормальные к волновым поверхностям линии, вдоль которых распространяется поток световой энергии. Геометрическая оптика, оставаясь приближенным методом построения изображений в оптических системах, позволяет разобрать основные явления, связанные с прохождением через них света, и является поэтому основой теории оптических приборов.
Линзы представляют собой прозрачные тела, ограниченные двумя поверхностями (одна из них обычно сферическая, иногда цилиндрическая, а вторая — сферическая или плоская), преломляющими световые лучи, способные формировать оптические изображения предметов. Материалом для линз служат стекло, кварц, кристаллы, пластмассы и т. п. По внешней форме (рис. 232) линзы делятся на: 1) двояковыпуклые; 2) плосковыпуклые; 3) двояковогнутые; 4) плосковогнутые; 5) выпукло-вогнутые; 6) вогнуто-выпуклые. По оптическим свойствам линзы делятся на собирающие и рассеивающие.

Линза называется тонкой, если ее толщина (расстояние между ограничивающими поверхностями) значительно меньше по сравнению с радиусами поверхностей, ограничивающих линзу. Прямая, проходящая через центры кривизны поверхностей линзы, называется главной оптической осью. Для всякой линзы существует точка, называемая оптическим центром линзы, лежащая на главной оптической оси и обладающая тем свойством, что лучи проходят сквозь нее не преломляясь. Оптический центр О линзы для простоты будем считать совпадающим с геометрическим центром средней части линзы (это справедливо только для двояковыпуклой и двояковогнутой линз с одинаковыми радиусами кривизны обеих поверхностей; для плосковыпуклых и плосковогнутых линз оптический центр О лежит на пересечении главной оптической оси со сферической поверхностью).
Для вывода формулы тонкой линзы — соотношения, связывающего радиусы кривизны R 1 и R 2 поверхностей линзы с расстояниями а и b от линзы до предмета и его изображения, — воспользуемся принципом Ферма,* или принципом наименьшего времени: действительный путь распространения света (траектория светового луча) есть путь, для прохождения которого свету требуется минимальное время по сравнению с любым другим мыслимым путем между теми же точками.
* П. Ферма (1601—1665) — французский математик и физик.
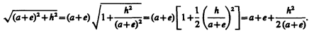
Рассмотрим два световых луча (рис. 233) — луч, соединяющий точки А и В (луч АОВ), и луч, проходящий через край линзы (луч АСВ), — воспользовавшись условием равенства времени прохождения света вдоль АОВ и АСВ. Время прохождения света вдоль АОВ

где N = n / n 1 — относительный показатель преломления (п и n 1 — соответственно абсолютные показатели преломления линзы и окружающей среды). Время прохождения света вдоль АСВ равно

Так как t 1= t 2, то
(166.1)
Рассмотрим параксиальные (приосевые) лучи, т. е. лучи, образующие с оптической осью малые углы. Только при использовании параксиальных лучей получается стигматическое изображение, т. е. все лучи параксиального пучка, исходящего из точки А, пересекают оптическую ось в одной и той же точке В. Тогда h <<(a+e), h <<(b+d) и

Аналогично,

Подставив найденные выражения в (166.1), получим
(166.2)
Для тонкой линзы е << а и d << b, поэтому (166.2) можно представить в виде

Учитывая, что
и соответственно d=h 2 / (2 R 1), получим
(166.3)

Выражение (166.3) представляет собой формулу тонкой линзы. Радиус кривизны выпуклой поверхности линзы считается положительным, вогнутой — отрицательным.
Если а =¥, т. е. лучи падают на линзу параллельным пучком (рис. 234, а), то

Соответствующее этому случаю расстояние b=OF=f называется фокусным расстоянием линзы, определяемым по формуле

Оно зависит от относительного показателя преломления и радиусов кривизны.
Если b =¥, т. е. изображение находится в бесконечности и, следовательно, лучи выходят из линзы параллельным пучком (рис. 234, б), то a=OF=f. Таким образом, фокусные расстояния линзы, окруженной с обеих сторон одинаковой средой, равны. Точки F, лежащие по обе стороны линзы на расстоянии, равном фокусному, называются фокусами линзы. Фокус — это точка, в которой после преломления собираются все лучи, падающие на линзу параллельно главной оптической оси.
Величина
(166.4)
называется оптической силой линзы. Ее единица — диоптрия (дптр). Диоптрия — оптическая сила линзы с фокусным расстоянием 1 м: 1 дптр = 1/м.
Линзы с положительной оптической силой являются собирающими, с отрицательной — рассевающими. Плоскости, проходящие через фокусы линзы перпендикулярно ее главной оптической оси, называются фокальными плоскостями. В отличие от собирающей рассеивающая линза имеет мнимые фокусы. В мнимом фокусе сходятся (после преломления) воображаемые продолжения лучей, падающих на рассеивающую линзу параллельно главной оптической оси (рис. 235).






