(149.9)

Из прямоугольного треугольника получаем
откуда амплитуда силы тока имеет значение
(149.10)
совпадающее с (147.15).
Следовательно, если напряжение в цепи изменяется по закону U = U m cos w t, то в цепи течет ток
(149.11)
где j и I m определяются соответственно формулами (149.9) и (149.10). Величина
(149.12)
называется полным сопротивлением цепи, а величина

– реактивным сопротивлением.
Рассмотрим частный случай, когда в цепи отсутствует конденсатор. В данном случае падения напряжений UR и UL в сумме равны приложенному напряжению U. Векторная диаграмма для данного случая представлена на рис. 217, из которого следует, что
(149.13)

Выражения (149.9) и (149.10) совпадают с (149.13), если в них 1/(wC) = 0, т.е. С =¥. Следовательно, отсутствие конденсатора в цепи означает С =¥, а не С= 0. Данный вывод можно трактовать следующим образом: сближая обкладки конденсатора до их полного соприкосновения, получим цепь, в которой конденсатор отсутствует (расстояние между обкладками стремится к нулю, а емкость — к бесконечности; см. (94.3)).
§ 150. Резонанс напряжений
Если в цепи переменного тока, содержащей последовательно включенные конденсатор, катушку индуктивности и резистор (см. рис. 216),
(150.1)
то угол сдвига фаз между током и напряжением (149.9) обращается в нуль (j =0), т. е. изменения тока и напряжения происходят синфазно. Условию (150.1) удовлетворяет частота
(150.2)
В данном случае полное сопротивление цепи Z (149.12) становится минимальным, равным активному сопротивлению R цепи, и ток в цепи определяется этим сопротивлением, принимая максимальные (возможные при данном U m) значения. При этом падение напряжения на активном сопротивлении равно внешнему напряжению, приложенному к цепи (UR = U), а падения напряжений на конденсаторе (UC) и катушке индуктивности (UL) одинаковы по амплитуде и противоположны по фазе. Это явление называется резонансом напряжений (последовательным резонансом), а частота (150.2) — резонансной частотой. Векторная диаграмма для резонанса напряжений приведена на рис. 218, а зависимость амплитуды силы тока от w уже была дана на рис. 211.
В случае резонанса напряжений

подставив в эту формулу значения резонансной частоты и амплитуды напряжений на катушке индуктивности и конденсаторе, получим

где Q — добротность контура, определяемая выражением (146.14). Так как добротность обычных колебательных контуров больше единицы, то напряжение как на катушке индуктивности, так и на конденсаторе превышает напряжение, приложенное к цепи. Поэтому явление резонанса напряжений используется в технике для усиления колебания напряжения какой-либо определенной частоты. Например, в случае резонанса на конденсаторе можно получить напряжение с амплитудой QU m (Q в данном случае—добротность контура, которая может быть значительно больше U m). Это усиление напряжения возможно только для узкого интервала частот вблизи резонансной частоты контура, что позволяет выделить из многих сигналов одно колебание определенной частоты, т. е. на радиоприемнике настроиться на нужную длину волны. Явление резонанса напряжений необходимо учитывать при расчете изоляции электрических линий, содержащих конденсаторы и катушки индуктивности, так как иначе может наблюдаться их пробой.
§ 151. Резонанс токов
Рассмотрим цепь переменного тока, содержащую параллельно включенные конденсатор емкостью С и катушку индуктивностью L (рис. 219). Для простоты допустим, что активное сопротивление обеих ветвей настолько мало, что им можно пренебречь. Если приложенное напряжение изменяется по закону U= U m сos w t (см. (149.1)), то, согласно формуле (149.11),в ветви 1С2 течет ток

амплитуда которого определяется из выражения (149.10) при условии R= 0 и L =0:


Начальная фаза j 1 этого тока по формуле (149.9) определяется равенством
(151.1)
Аналогично, сила тока в ветви 1L2

амплитуда которого определяется из (149.10) при условии R= 0 и С =¥ (условие отсутствия емкости в цепи, см. § 149):

Начальная фаза j 2 этого тока (см. (149.9))
(151.2)
Из сравнения выражений (151.1) и (151.2) вытекает, что разность фаз токов в ветвях 1С2 н 1L2 равна j 1 —j 2 =p, т. е. токи в ветвях противоположны по фазе. Амплитуда силы тока во внешней (неразветвленной) цепи

Если w = w рез =
, то I m1= I m2и I m=0. Явление резкого уменьшения амплитуды силы тока во внешней цепи, питающей параллельно включенные конденсатор и катушку индуктивности, при приближении частоты w приложенного напряжения к резонансной частоте w рез называется резонансом токов (параллельным резонансом). В данном случае для резонансной частоты получили такое же значение, как и при резонансе напряжений (см. § 150).
Амплитуда силы тока I m оказалась равна нулю потому, что активным сопротивлением контура пренебрегли. Если учесть сопротивление R, то разность фаз j 1 —j 2будет равна p, поэтому при резонансе токов амплитуда силы тока I m будет отлична от нуля, но примет наименьшее возможное значение. Таким образом, при резонансе токов во внешней цепи токи I 1 и I 2 компенсируются и сила тока I в подводящих проводах достигает минимального значения, обусловленного только током через резистор. При резонансе токов силы токов I 1 и I 2 могут значительно превышать силу тока I.
Рассмотренный контур оказывает большое сопротивление переменному току с частотой, близкой к резонансной. Поэтому это свойство резонанса токов используется в резонансных усилителях, позволяющих выделять одно определенное колебание из сигнала сложной формы. Кроме того, резонанс токов используется в индукционных печах, где нагревание металлов производится вихревыми токами (см. § 125). В них емкость конденсатора, включенного параллельно нагревательной катушке, подбирается так, чтобы при частоте генератора получился резонанс токов, в результате чего сила тока через нагревательную катушку будет гораздо больше, чем сила тока в подводящих проводах.
§ 152. Мощность, выделяемая в цепи переменного тока
Мгновенное значение мощности переменного тока равно произведению мгновенных значений напряжения и силы тока:

где U(t)=U mcos wt, I(t)=I mcos(wt – j) (см. выражения (149.1) и (149.11)). Раскрыв cos(wt – j), получим


Практический интерес представляет не мгновенное значение мощности, а ее среднее значение за период колебания. Учитывая, что ácos2 w t ñ= 1/2, ásin w t cos w t ñ = 0, получим
(152.1)
Из векторной диаграммы (см. рис. 216) следует, что U m сos j = RI m. Поэтому

Такую же мощность развивает постоянный ток
.
Величины

называются соответственно действующими (или эффективными) значениями тока и напряжения. Все амперметры и вольтметры градуируются по действующим значениям тока и напряжения.
Учитывая действующие значения тока и напряжения, выражение средней мощности (152.1) можно запасать в виде
(152.2)
где множитель соs j называется коэффициентом мощности.
Формула (152.2) показывает, что мощность, выделяемая в цепи переменного тока, в общем случае зависит не только от силы тока и напряжения, но и от сдвига фаз между ними. Если в цепи реактивное сопротивление отсутствует, то cos j =1 и P=IU. Если цепь содержит только реактивное сопротивление (R =0), то cos j =0 и средняя мощность равна нулю, какими бы большими ни были ток и напряжение. Если cos j имеет значения, существенно меньшие единицы, то для передачи заданной мощности при данном напряжении генератора нужно увеличивать силу тока I, что приведет либо к выделению джоулевой теплоты, либо потребует увеличения сечения проводов, что повышает стоимость линий электропередачи. Поэтому на практике всегда стремятся увеличить соs j, наименьшее допустимое значение которого для промышленных установок составляет примерно 0,85.
Задачи
18.1. Материальная точка, совершающая гармонические колебания с частотой n = 2 Гц, в момент времени t= 0 проходит положение, определяемое координатой х 0 — 6 см, со скоростью v 0=14 см/с. Определить амплитуду колебания. [6,1 см]
18.2. Полная энергия гармонически колеблющейся точки равна 30 мкДж, а максимальная сила, действующая на точку, равна 1,5 мН. Написать уравнение движения этой точки, если период колебаний равен 2 с, а начальная фаза p/3. [x=0,04cos(p t +p/3)]
18.1. При подвешивании грузов массами m 1 = 500 г и m 2 = 400 г к свободным пружинам последние удлинились одинаково (D l =15 см). Пренебрегая массой пружин, определить: 1) периоды колебаний грузов; 2) который из грузов при одинаковых амплитудах обладает большей энергией и во сколько раз. [1) 0,78 с; 2) 1,25]
18.4. Физический маятник представляет собой тонкий однородный стержень длиной 25 см. Определить, на каком расстоянии от центра масс должна быть точка подвеса, чтобы частота колебаний была максимальной. [7,2 см]
18.5. Два математических маятника, длины которых отличаются на D l = 16 см, совершают за одно и то же время: один n 1=10 колебаний, другой n 2= 6 колебаний. Определить длины маятников l 1 и l 2. [ l 1=9 см, l 2=25 см]
18.6. Колебательный контур содержит катушку с общим числом витков, равным 50, индуктивностью 5 мкГн и конденсатор емкостью 2 нФ. Максимальное напряжение на обкладках конденсатора составляет 150 В. Определить максимальный магнитный поток, пронизывающий катушку. [0,3 мкВб]
18.7. Разность фаз двух одинаково направленных гармонических колебаний одинакового периода, равного 8 с, и одинаковой амплитуды 2 см составляет p/4. Написать уравнение движения, получающегося в результате сложения этих колебаний, если начальная фаза одного из них равна нулю. [ х =0,037 соs (p t/ 4+p/8)]
18.8. Точка участвует одновременно в двух гармонических колебаниях, происходящих во взаимно перпендикулярных направлениях и описываемых уравнениями х= cosp t и y= cosp t/2. Определить уравнение траектории точки и вычертить ее с нанесением масштаба. [2 y 2– х =1]
18.9. За время, за которое система совершает 100 полных колебаний, амплитуда уменьшается в три раза. Определить добротность системы. [286]
18.10. Колебательный контур содержит катушку индуктивностью 25 мГн, конденсатор емкостью 10 мкФ и резистор сопротивлением 1 Ом. Заряд на обкладках конденсатора Q m=1 мКл. Определить: 1) период колебаний контура; 2) логарифмический декремент затухания колебаний; 3) уравнение зависимости изменения напряжения на обкладках конденсатора от времени. [1) 3,14 мс; 2) 0,06; 3) U= 100 e– 20 t cos636 pt ]
18.11. Последовательно соединенные резистор с сопротивлением 110 Ом и конденсатор подключены к внешнему переменному напряжению с амплитудным значением 110 В. Оказалось, что амплитудное значение установившегося тока в цепи 0,5 А. Определить разность фаз между током и внешним напряжением. [60°]
18.12. В цепь переменного тока частотой 50 Гц включена катушка длиной 50 см и площадью поперечного сечения 10 см2, содержащая 3000 витков. Определить активное сопротивление катушки, если сдвиг фаз между напряжением и током составляет 60°. [4,1 Ом]
18.13. Генератор, частота которого составляет 32 кГц и амплитудное значение напряжения равно 120 В, включен в резонирующую цепь, емкость которой 1 нФ. Определить амплитудное значение напряжения на конденсаторе, если активное сопротивление цепи 5 Ом. [119 кВ]
18.14. Колебательный контур содержит катушку индуктивностью 5 мГн и конденсатор емкостью 2 мкФ. Для поддержания в колебательном контуре незатухающих гармонических колебаний с амплитудным значением напряжения на конденсаторе 1 В необходимо подводить среднюю мощность 0,1 мВт. Считая затухание колебаний в контуре достаточно малым, определить добротность данного контура. [100]
Глава 19Упругие волны
§ 153. Волновые процессы. Продольные и поперечные волны
Колебания, возбужденные в какой-либо точке среды (твердой, жидкой или газообразной), распространяются в ней с конечной скоростью, зависящей от свойств среды, передаваясь от одной точки среды к другой. Чем дальше расположена частица среды от источника колебаний, тем позднее она начнет колебаться. Иначе говоря, фазы колебаний частиц среды и источника тем больше отличаются друг от друга, чем больше это расстояние. При изучении распространения колебаний не учитывается дискретное (молекулярное) строение среды и среда рассматривается как сплошная, т. е. непрерывно распределенная в пространстве и обладающая упругими свойствами.
Процесс распространения колебаний в сплошной среде называется волновым процессом (или волной). При распространении волны частицы среды не движутся вместе с волной, а колеблются около своих положений равновесия. Вместе с волной от частицы к частице среды передаются лишь состояние колебательного движения и его энергия. Поэтому основным свойством всех волн, независимо от их природы, является перенос энергии без переноса вещества.
Среди разнообразных волн, встречающихся в природе и технике, выделяются следующие их типы: волны на поверхности жидкости, упругие и электромагнитные волны. Упругими (или механическими) волнами называются механические возмущения, распространяющиеся в упругой среде. Упругие волны бывают продольные и поперечные. В продольных волнах частицы среды колеблются в направлении распространения волны, в поперечных — в плоскостях, перпендикулярных направлению распространения волны.
Продольные волны могут возбуждаться в средах, в которых возникают упругие силы при деформации сжатия и растяжения, т. е. твердых, жидких и газообразных телах. Поперечные волны могут возбуждаться в среде, в которой возникают упругие силы при деформации сдвига, т. е. в твердых телах; в жидкостях и газах возникают только продольные волны, а в твердых телах — как продольные, так и поперечные.
Упругая волна называется гармонической, если соответствующие ей колебания частиц среды являются гармоническими. На рис. 220 представлена гармоническая поперечная волна, распространяющаяся со скоростью v вдоль оси х, т. е. приведена зависимость между смещением x частиц среды, участвующих в волновом процессе, и расстоянием х этих частиц (например, частицы В) от источника колебаний О для какого-то фиксированного момента времени t. Приведенный график функции x (x, t)похож на график гармонического колебания, однако они различны по существу. График волны дает зависимость смещения всех частиц среды от расстояния до источника колебаний в данный момент времени, а график колебаний — зависимость смещения данной частицы от времени.
Расстояние между ближайшими частицами, колеблющимися в одинаковой фазе, называется длиной волны l (рис. 220). Длина волны равна тому расстоянию, на которое распространяется определенная фаза колебания за период, т. е.

или, учитывая, что T = 1/ n, где n — частота колебаний,


Если рассмотреть волновой процесс подробнее, то ясно, что колеблются не только частицы, расположенные вдоль оси х, а колеблется совокупность частиц, расположенных в некотором объеме, т. е. волна, распространяясь от источника колебаний, охватывает все новые и новые области пространства. Геометрическое место точек, до которых доходят колебания к моменту времени t, называется волновым фронтом. Геометрическое место точек, колеблющихся в одинаковой фазе, называется волновой поверхностью. Волновых поверхностей можно провести бесчисленное множество, а волновой фронт в каждый момент времени — один. Волновой фронт также является волновой поверхностью. Волновые поверхности могут быть любой формы, а в простейшем случае они представляют собой совокупность плоскостей, параллельных друг другу, или совокупность концентрических сфер. Соответственно волна называется плоской или сферической.
§ 154. Уравнение бегущей волны. Фазовая скорость. Волновое уравнение
Бегущими волнами называются волны, которые переносят в пространстве энергию. Перенос энергии волнами количественно характеризуется вектором плотности потока энергии. Этот вектор для упругих волн называется вектором Умова (по имени русского ученого Н. А. Умова (1846—1915), решившего задачу о распространении энергии в среде). Направление вектора Умова совпадает с направлением переноса энергии, а его модуль равен энергии, переносимой волной за единицу времени через единичную площадку, расположенную перпендикулярно направлению распространения волны.
Для вывода уравнения бегущей волны — зависимости смещения колеблющейся частицы от координат и времени — рассмотрим плоскую волну, предполагая, что колебания носят гармонический характер, а ось х совпадает с направлением распространения волны (рис. 220). В данном случае волновые поверхности перпендикулярны оси х, а так как все точки волновой поверхности колеблются одинаково, то смещение x будет зависеть только от x и t, т. е. x = x (x, t).
На рис. 220 рассмотрим некоторую частицу В среды, находящуюся от источника колебаний О на расстоянии х. Если колебания точек, лежащих в плоскости х= 0,описываются функцией x (0, t) = A cos wt, то частица В среды колеблется по тому же закону, но ее колебания будут отставать по времени от колебаний источника на t, так как для прохождения волной расстояния х требуется время t = x / v, где v — скорость распространения волны. Тогда уравнение колебаний частиц, лежащих в плоскости х, имеет вид
(154.1)
откуда следует, что x (х, t) является не только периодической функцией времени, но и периодической функцией координаты х. Уравнение (154.1) есть уравнение бегущей волны. Если плоская волна распространяется в противоположном направлении, то

В общем случае уравнение плоской волны, распространяющейся вдоль положительного направления оси х в среде, не поглощающей энергию, имеет вид
(154.2)
где А = const — амплитуда волны, w — циклическая частота, j 0 — начальная фаза волны, определяемая в общем случае выбором начал отсчета х и t, [ w (t—x/v)+ j 0] — фаза плоской волны.
Для характеристики волн используется волновое число
(154.3)
Учитывая (154.3), уравнению (154.2) можно придать вид
(154.4)
Уравнение волны, распространяющейся вдоль отрицательного направления оси х, отличается от (154.4) только знаком члена kx.
Основываясь на формуле Эйлера (140.7), уравнение плоской волны можно записать в виде

где физический смысл имеет лишь действительная часть (см. § 140). Предположим, что при волновом процессе фаза постоянна, т. е.
(154.5)
Продифференцировав выражение (154.5) и сократив на w, получим
откуда
(154.6)
Следовательно, скорость v распространения волны в уравнении (154.6) есть не что иное, как скорость перемещения фазы волны, и ее называют фазовой скоростью.
Повторяя ход рассуждений для плоской волны, можно доказать, что уравнение сферической волны — волны, волновые поверхности которой имеют вид концентрических сфер, записывается как
(154.7)
где r — расстояние от центра волны до рассматриваемой точки среды. В случае сферической волны даже в среде, не поглощающей энергию, амплитуда колебаний не остается постоянной, а убывает с расстоянием по закону 1/ r. Уравнение (154.7) справедливо лишь для r, значительно превышающих размеры источника (тогда источник колебаний можно считать точечным).
Из выражения (154.3) вытекает, что фазовая скорость
(154.8)
Если фазовая скорость воли в среде зависит от их частоты, то это явление называют дисперсией волн, а среда, в которой наблюдается дисперсия волн, называется диспергирующей средой.
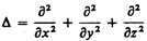
Распространение волн в однородной изотропной среде в общем случае описывается волновым уравнением — дифференциальным уравнением в частных производных

или
(154.9)

где v — фазовая скорость,
— оператор Лапласа. Решением уравнения (154.9) является уравнение любой волны. Соответствующей подстановкой можно убедиться, что уравнению (154.9) удовлетворяют, в частности, плоская волна (см. (154.2)) и сферическая волна (см. (154.7)). Для плоской волны, распространяющейся вдоль оси х, волновое уравнение имеет вид
(154.10)
§ 155. Принцип суперпозиции. Групповая скорость
Если среда, в которой распространяется одновременно несколько волн, линейна, т. е. ее свойства не изменяются под действием возмущений, создаваемых волной, то к ним применим принцип суперпозиции (наложения) волн: при распространении в линейной среде нескольких волн каждая из них распространяется так, как будто другие волны отсутствуют, а результирующее смещение частицы среды в любой момент времени равно геометрической сумме смещений, которые получают частицы, участвуя в каждом из слагающих волновых процессов.
Исходя из принципа суперпозиции и разложения Фурье (см. (144.5)) любая волна может быть представлена в виде суммы гармонических волн, т. е. в виде волнового пакета, или группы волн. Волновым пакетом называется суперпозиция волн, мало отличающихся друг от друга по частоте, занимающая в каждый момент времени ограниченную область пространства.
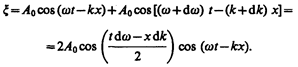
«Сконструируем» простейший волновой пакет из двух распространяющихся вдоль положительного направления оси х гармонических волн с одинаковыми амплитудами, близкими частотами и волновыми числами, причем d w << w и d k<<k. Тогда

Эта волна отличается от гармонической тем, что ее амплитуда

есть медленно изменяющаяся функция координаты х и времени t.
За скорость распространения этой негармонической волны (волнового пакета) принимают скорость перемещения максимума амплитуды волны, рассматривая тем самым максимум в качестве центра волнового пакета. При условии, что t d w —x d k = const, получим
(155.1)
Скорость и есть групповая скорость. Ее можно определить как скорость движения группы волн, образующих в каждый момент времени локализованный в пространстве волновой пакет. Выражение (155.1) получено для волнового пакета из двух составляющих, однако можно доказать, что оно справедливо в самом общем случае.
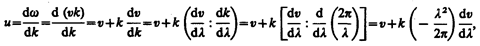
Рассмотрим связь между групповой
(см. (155.1)) и фазовой v=w /k (см. (154.8)) скоростями. Учитывая, что k= 2 p/l (см. (154.3)), получим

или
(155.2)
Из формулы (155.2) вытекает, что u может быть как меньше, так и больше v в зависимости от знака d v/ d l. В недиспергирующей среде d v/ d l= 0 и групповая скорость совпадает с фазовой.






