Технология разработки и принятия управленческих решений последовательно реализуется на этапе моделирования ситуации или постановки проблем (блок М), выбора решения (блок Р), организации выполнения (блок В). Каждому этапу соответствуют свои методы принятия решений.
На этапе моделирования ситуации или постановки проблемы используются методы сбора, обработки и анализа информации, методы фиксации важнейших событий, управленческий анализ (факторный анализ, приемы сравнения, аналогии, моделирования и т.д.). Набор применяемых методик зависит от характера проблемы, сроков и финансовых средств. На этом этапе надо дать описание проблемной ситуации и найти ответ на вопрос: что произошло, по каким причинам?
На этапе выбора решения проблемы разрабатываются различные варианты решения проблемы. Здесь информация должна иметь более конструктивный характер т.к. надо ответить на другой вопрос: как и с привлечением каких управленческих действий (средств) можно решить проблему? Менеджеры не только собирают дополнительную информацию и обрабатывают ее, но, используя свой творческий потенциал, выдвигают идеи, предлагают многовариантные пути решения проблемы. При коллективном творчестве используют следующие методы выбора решения проблемы:
– метод Дельфи. Используется в случаях, когда сбор творческого коллектива невозможен. Больше того, членам коллектива не разрешается обмениваться мнениями по решаемой проблеме. Последовательность решения проблемы такова:
а) члены группы должны анонимно ответить на детальный перечень вопросов по проблеме;
б) результаты ответов собираются в центре, на их основе составляется интегральный документ, представляющий все варианты решения проблемы;
в) каждый член группы получает копию этого документа. Знакомство с предложениями других участников может изменить мнение каждого из членов группы;
г) результаты уточненных ответов опять собираются в центре.
Процедура «в» и «г» повторяется столько раз, сколько необходимо для принятия согласованного решения. Плюс метода: сохраняется независимость мнения. Минус: затраты времени и финансов значительно возрастают.
Для принятия согласованного решения используется количественная оценка мнений по различным вариантам решения проблемы. В этом случае эксперты проставляют оценки рассматриваемым вариантам. Затем экспертов знакомят со средним значением оценки и величиной размаха – разницей между максимальным и минимальным значениями оценок. Далее проводится вторичный опрос с условием пересмотра оценок экспертов, которые наиболее отклоняются от среднего значения. Затем снова проверяется согласованность оценок по определенному критерию. Если согласованность оценок экспертов недостаточна, то опрос повторяется вновь и вновь.
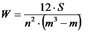
Согласованность мнения экспертов обычно оценивается величиной коэффициента конкордации Кэндалла:
,
где S – сумма квадратов отклонений оценок экспертизы по каждому варианту решения от среднего арифметического оценок; n – число экспертов, m – число объектов экспертизы.
Коэффициент конкордации изменяется в диапазоне 0 < W < 1. Ноль соответствует несогласованности мнений экспертов, единица – полной согласованности. Если значение коэффициента конкордации превышает 0,40-0,50, качество оценки можно считать удовлетворительным, если W ≥ 0,70 - 0,80 – высоким.
Например. Определить степень согласованности мнений шести экспертов по результатам оценок пяти вариантов решений, которые приведены в таблице 8.3. Объект, заслуживающий наибольшего внимания, получает оценку 1, наименьшего –5.
По мнению экспертов наибольшего внимания заслуживает пятый вариант решения, о чем свидетельствует наименьшая сумма рангов.
Среднеарифметическое число рангов:
Qср= (25+18+10+28+9): 6 = 15.
Сумма квадратов отклонений от среднего значения S = 339.
Таблица 8.3
Исходные данные для оценки согласованности мнений экспертов
| Номер объекта экспертизы | Оценки экспертов | Сумма рангов | Отклонение от среднего | Квадрат отклонения | |||||
| 1 | 2 | 3 | 4 | 5 | 6 | ||||
| 1 | 5 | 4 | 5 | 3 | 4 | 4 | 25 | 10 | 100 |
| 2 | 3 | 2 | 3 | 4 | 3 | 3 | 18 | 3 | 9 |
| 3 | 2 | 3 | 1 | 1 | 2 | 1 | 10 | -5 | 25 |
| 4 | 4 | 5 | 4 | 5 | 5 | 5 | 28 | 13 | 169 |
| 5 | 1 | 1 | 2 | 2 | 1 | 2 | 9 | -6 | 36 |
| Итого | 15 | 15 | 15 | 15 | 15 | 15 | - | - | 339 |
Коэффициент конкордации
W= (12×339): [36 × (125 - 5)] = 0,94
Результат свидетельствует о высокой согласованности мнений экспертов.
– метод мозговой атаки (штурма ). Каждому участнику группы предоставляется право высказать множество идей по поводу решения проблемы независимо от их осуществимости и логичности. Все предложения членов группы выслушиваются без критики и оценки. Затем производится централизованный анализ с письменным формированием списка, в котором все предложения классифицируются по определенным параметрам-ограничениям и по результативности достижения поставленной цели.
Вариантом «мозгового штурма» служит «метод635». Группа состоит из 6 человек. Каждому из участников вручают в письменном виде изложение проблемы. Им нужно представить письменно 3 собственных предложения для решения проблемы. На это отводится 5 минут. Затем предложения передаются по кругу, каждому следующему участнику группы предлагается развить эти предложения. Т.о. пять раз рассматриваются 18 исходных положений для выбора оптимального варианта.
Для выбора вариантов решенийопределяются, прежде всего, критерии выбора. Наиболее полно на этом этапе используются экономико-математические методы, где в качестве критерия выбора определяется целевая функция с условием ее максимизации или минимизации. Такой выбор называют оптимизационным. Примером оптимизационного критерия может выступать максимум прибыли, производительности труда и оборудования, минимум затрат, потерь от брака и т. д.
Для оценки вариантов, не подходящих для экономико-математической обработки используют систему взвешенных критериев,также решаемую экспертным путем.
Например. Согласно стратегическим планам в области намечается создание предприятия по производству ДВП. Предварительно предложены два варианта расположения предприятия: альтернатива А и альтернатива В. Решающими критериями при выборе местонахождения являются: низкие затраты на производство (Ц1), долгосрочный спрос на продукцию на региональном рынке (Ц2), дешевое сырье (Ц3).
Весомость критериев ранжируется следующим образом:
- низкие затраты на производство (Ц1)-0,6;
- долгосрочный спрос на продукцию на региональном рынке (Ц2) – 0,2;
- дешевое сырье (Ц3) - 0,2.
На каждый из этих критериев влияют следующие факторы: расстояние (Ф1) и расходы (Ф2) по транспортировке готовой продукции, сырья и материалов, поддержка местными органами власти (Ф3). Влияние факторов на выбранные критерии, а также значения фактора в пределах от 1 до 10, установленные экспертами, представлены в таб. 8.4.
Таблица 8.4
Результаты экспертных оценок критериев и факторов по рассматриваемым вариантам решений
| Критерии | (Ц1)-0,6 | (Ц2) – 0,2 | (Ц3) - 0,2 | ||||||
| Факторы | Ф1-0,8 | Ф2-0,1 | Ф3- 0,1 | Ф1- 0,1 | Ф2 -0,2 | Ф3- 0,7 | Ф1- 0,6 | Ф2- 0,2 | Ф3- 0,2 |
| А | 5 | 8 | 7 | 6 | 4 | 5 | 8 | 2 | 9 |
| В | 10 | 4 | 5 | 8 | 6 | 3 | 5 | 2 | 3 |
Результаты расчетов.
Альтернатива А: (5*0,8+8*0,1+7*0,1)*0,6 + (6*0,1+4*0,2+5*0,7)*0,2 + (8*0,6+2*0,2+9*0,2)*0,2 = 5,68
Альтернатива В: (10*0,8+4*0,1+5*0,1)*0,6 + … =6,96
Следовательно, местонахождение предприятия по альтернативе В более предпочтительно.
Этап выполнения решения начинается с составления плана реализации, в котором предусмотрена система мер по достижению поставленных целей. Одним из механизмов планирования на этом этапе может быть так называемое дерево решений (целей). Оно позволяет путем декомпозиции выбранного варианта решений представить всю совокупность целей и задач, необходимых для его реализации. Декомпозиция означает, что цели более низкого уровня определяют возможность достижения цели более высокого уровня. Подцели различных уровней дерева целей называют путями соответствующих уровней (рис.8.5).
| Задачи: 1 уровня |
| Генеральная цель |
| 2 уровня |
| 3 уровня |
| 1.1.1 1.1.2 1.1.3 |
| 1.2.1 1.2.2 1.2.3 |
| 2.1.1 2.1.2 |
| 2.2.1 2.2.2 |
| 2.3.1 2.3.2 2.3.3 2.3.4 |
| 1.1 |
| 1.2 |
| 2.1 |
| 2.2 |
| 2.3 |
| Генеральная цель |
Рис. 8.5. Дерево целей выполнения решений.
Планирование, как функция управления
Планирование – научное предвидение результатов деятельности, основанное на установлении закономерностей и тенденций экономического, социального и научно-технического развития. Т.о. суть планирования состоит в определении целей и путей их достижения.
Принципы планирования: оптимальность (производственные ресурсы используются по наиболее выгодному варианту); обоснованность (показатели плана устанавливаются с учетом прогрессивных норм, научно-обоснованными методами расчета); непрерывность (взаимосвязь перспективного и текущего планирования, постоянная корректировка планов с изменением условий деятельности); взаимоувязанность (увязка всех разделов плана). Планирование всегда ориентировано на данные прошлого, хотя стремится определить развитие в перспективе. Отсюда растущее внимание к бухгалтерскому учету, статистике.
Изменения в планировании на современном этапе определяются влиянием вероятностных процессов в экономике. Экономические кризисы, политическая нестабильность сводят на нет тщательно выполненный прогноз. Показатели рынка не всегда можно использовать в качестве исходных данных, т.к. в отдельных случаях они не поддаются логическому объяснению. Поэтому планы должны составляться с резервами (т.н. резервами безопасности). Однако большие резервы делают планы неточными, малые – влекут за собой частые изменения.
Различаются следующие виды планов: – по временному интервалу – краткосрочные (на год и менее); среднесрочные (от года до пяти); долгосрочные (свыше 5 лет);
– по функциональному назначению различают планы сбыта, производства, снабжения, финансов, планы использования инвестиций и т.д.;
– по иерархичности. Иерархия планов отражает их соподчиненность: высший - стратегический план, средний – тактический, низший – оперативный план. По мере перехода от стратегических планов к тактическим и оперативным сужается временной горизонт, возрастают детализация и точность планов. Например, стратегический план может рассматривать вопросы создания нового производства на территории предприятия. Тактический (текущий) – уточняет стратегические цели и задачи, например, в показателях производственной программы, обновлении продукции. Оперативный план (оперативно-календарный план) определяет по дням и сменам размеры выпуска продукции, периодичность и объем заказов на сырье и материалы, баланс рабочего времени работы оборудования и т.д.
Планирование на предприятии – совместные действия всего коллектива по определению границ деятельности в области сбыта и производства продукции, развития техники и технологии, организации труда, границ издержек и финансовых результатов.
При прочих равных условиях процесс планирования ведется против хода производства: от сбыта продукции, через производство к снабжению материально-техническими ресурсами.
Координация планов производится: по горизонтали – во времени и пространстве между равноправными подразделениями; по вертикали – между различными уровнями структуры управления. При этом используются методы:
– сверху вниз (top-down) – от общего плана предприятия к планам нижестоящих звеньев;
– снизу вверх (bottom-up) – планы нижестоящих звеньев объединяются в планы предприятия;
– комбинированный (смешанный) – навстречу друг другу.
Структурная схема планирования долгосрочной деятельности предприятия представлена рис. 8.6.
| Долгосрочное планирование производства: производственные мощности на перспективу, потребность в финансовых средствах, капитальных вложениях, перспективный маркетинг, новая техника и технология |
| План себестоимости отдельных видов продукции |
| Накладные расходы, в т.ч. аморт. отчисления |
| План по труду |
| План МТО, запасы сырья и материалов |
| План производства, движение запасов ГП |
| План продаж |
| Смета затрат предприятия, в том числе переменные и условно-постоянные расходы |
| План рекламных мероприятий |
| Долгосрочное планирование бухгалтерского баланса, прибыли и движения финансов на перспективу |
| План доходов по срокам поступления |
| План исследований и разработок |
| План капитальных вложений |
| Кредитный план |
| План расходов по срокам оттока средств |
| План по прибыли по срокам ее формирования и использования |
Рис.8.6. Структурная схема планирования деятельности предприятия






