Систему показателей эффективности инвестиций формируют:
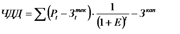
• чистый дисконтированный доход (ЧДД, интегральный эффект, NPV–net present value или, в русской транскрипции, ЧТС – чистая текущая стоимость). Определяется как сумма текущих эффектов за горизонт расчетов Т, приведенная к начальному расчетному шагу расчета t0, или как превышение интегральных результатов над интегральными затратами. ЧДД при постоянной норме дисконта Е считается
,
где Рt и Зt - результаты и затраты на конкретном шаге; Т - горизонт расчета, i -шаг расчета.
Чем больше ЧДД, тем проект эффективнее. При отрицательной величине ЧДД проект неэффективен. Сравнение различных инвестиционных проектов и выбор лучшего из них рекомендуется производить по наибольшей величине ЧДД, исчисленных для одного горизонта расчетов.
На практике часто пользуются модифицированной формулой ЧДД. Для этого сумма затрат Зt делится на текущие затраты Зt тек и капитальные З tкап:
.
Если капитальные затраты не растянуты во времени и равны Зкап, то
.
Разность (Рt - Зtтек) по годам освоения инвестиционного проекта формирует чистые денежные притоки, которые включают в себя суммы чистой прибыли и амортизационных отчислений. Последние в теории эффективности рассматриваются как дополнительный источник финансирования проекта. Сумма Зtкап формирует чистые денежные оттоки.
Например. В таб. 9.2 представлены планируемые результаты реализации инвестиционного проекта в виде доходов (притоков) и капитальных затрат (оттоков).
Таблица 9.2
Расчет ЧДД при Е=14%, д.е.
| Год | Притоки | Оттоки | Дисконтирование при Е=0,14 | ЧДД текущий | ЧДД накопленный (ЧТС) | |
| притоков | оттоков | |||||
| to | 10,0 | 100,0 | 10,0 | 100,0 | -90 | -90 |
| t1 | 57,1 | 75,0 | 50,1 | 65,8 | -15,7 | -105,7 |
| t2 | 110,3 | - | 84,9 | - | 84,9 | -20,8 |
| t3 | 113,1 | - | 76,3 | - | 76,3 | 55,5 |
| t4 | 113,1 | - | 67,0 | - | 67,0 | 122,5 |
| Итого | 403,6 | 175,0 | 288,3 | 165,8 | 122,5 | - |
При расчете ЧДД обычно используется постоянная ставка дисконтирования, однако в определенных обстоятельствах (например, при ожидаемом изменении уровня учетных ставок Центрального банка, уровня инфляции и т.д.) могут использоваться дифференцированные по годам ставки дисконтирования. В этом случае используется другая формула определения ЧДД.
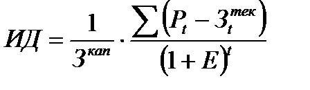
• индекс доходности (ИД). Есть отношение суммы приведенных эффектов к величине капитальных вложений

По рекомендациям проектных организаций в целях обеспечения устойчивости проекта необходимо увеличивать норму дисконта, при этом ИД должен быть более 1,2.






