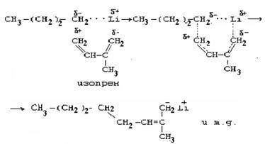
Рассмотрим особенности полимеризации на примере изопрена в присутствии бутиллития. Мономер с катализатором образует комплекс с двумя активными центрами: металл и алкил, в котором металл связан с мономером координационной связью. Такая полимеризация называется анионно-координационной.

В процессе роста цепи двухцентровой комплекс координирует новую молекулу изопрена в пространстве так, что мономер внедряется между отрицательно заряженным алкильным остатком и положительно заряженным ионом лития, что приводит к последующему образованию стереорегулярного полимера. В связи с этим в процессе полимеризации образуется полиизопрен с высоким содержанием цис – 1,4 звеньев, который является синтетическим аналогом натурального каучука.
Анионно-координационная полимеризация с образованием стереорегулярных полимеров протекает в среде инертных растворителей в присутствии литийорганических соединений.
Стереорегулярные полимеры не образуются, если алкильная группа литийорганического соединения содержит меньше четырех атомов углерода.






