7.1 Эндогенные и экзогенные источники энергии географических процессов.
В географическую оболочку энергия поступает из Космоса, недр Земли и выделяется при гравитационном взаимодействии планеты с ближайшими космическими телами — Луной и Солнцем. В зависимости от этого энергетические источники подразделяют на эндогенные (внут) и экзогенные (внеш).
Эндогенная энергия — это энергия земных недр, которая поступает в географическую оболочку в двух формах: теплового потока (теллурические токи) и путем механических перемещений вещества. Величина теплового потока в среднем в 10-5 раз меньше потока электромагнитной солнечной энергии (0,06 Дж/м2×с). Источниками эндогенной энергии являются: гравитационная дифференциация земного вещества по плотности, распад радиоактивных элементов, внутреннее трение масс вещества, приливное трение, обусловленное взаимодействием Земли с Луной и Солнцем, поступление тепла на земную поверхность через гейзеры или вулканы, энергия из «геохимических аккумуляторов» (породы, кот могут накапливать энергию). Экзогенная энергия. Энергия, поступающая на Землю из Космоса, называется экзогенной. В количественном отношении она на 97% состоит из электромагнитного излучения Солнца — солнечной радиации. Вследствие малой изменчивости интенсивности солнечной радиации, поступающей на верхнюю границу атмосферы, ее поток, рассчитываемый на 1 см2 в минуту, называют солнечной постоянной, которая равна 1,98 кал/(см2×мин), или 8,3 Дж/(см2×мин). Электромагнитное излучение Солнца содержит широкий спектр волн разной длины (рис. 7.1). Ультракоротковолновая радиация (длина волн менее 0,1027 мкм) проникает до высоты 100—200 км, где она задерживается в ионосфере. Более длинные волны (0,1027—0,2424 мкм) распространяются до высоты 70-80 км. Жесткая ультрафиолетовая радиация практически полностью поглощается в слое максимальной концентрации озона на высоте 25-28 км. В тропосферу и непосредственно к земной поверхности поступают мягкая ультрафиолетовая радиация, а также видимое световое и инфракрасное излучение. Одновременно в географическую оболочку поступает радиоволновое излучение (от Солнца и из Космоса), энергетическое значение которого невелико. Наряду с электромагнитными потоками в атмосферу проникает корпускулярный поток заряженных частиц – «солнечный» и «космический» ветер.
Внутренняя энургия обнаруживается в различ движ зем коры. Она реализуется в 2 основ формах: 1) вертикальные (колебательные) н-р регрессия, трансгрессия. 2) горизонтальные (тангенциальные) образование складок (горсты – поднятые блоки, грабены – опущенные). Динамика зем коры происходила неравномерно и выделяет несколько эпох тектонической активности: 1) байкальская (конец протерозоя – начало палеозоя), каледонская (ранний палеозой), герцинская (поздний палеозой), киммерийская (середина мезозоя), альпийская (кайнозой).
Суммарное воздействие эндогенной и экзогенной энергии изменяет вещ-во земной коры, создает форму и рельеф земной коры. Самые грандиозные преобразования на поверхности планеты вызывает эндогенная энергия.
7.2 Лучистая энергия Солнца; радиационный баланс зем.пов. и его компоненты.
Из-за наличия у Зем атмосф солнечная радиация распределяется по поверх, поскольку атмосф избирательно пропускает электромаг излучение. Кроме прямой (непосредственно от солнечного диска) и рассеянной (от всего небосвода) радиации на земную поверхность поступают потоки и противоизлучения атмосферы (за счет ее нагревания от земной поверхности). Разность между поступлением и потерей радиации земной поверхностью составляет ее радиационный баланс (бюджет) и выражается уравнением

где R — радиационный баланс; S — прямая солнечная радиация; D — рассеянная радиация; Qотр — отраженная радиация; Е3 — излучение земной поверхности; ЕА — противоизлучение атмосферы.
Чем короче длина волны, тем интенсивнее рассеяние, поэтому больше рассеиваются лучи синей части спектра, придавая небу голубой цвет в ясную погоду.
Земля теряет почти столько радиационной энергии, сколько получает, поэтому считают, что она находится в состоянии лучистого равновесия. Только сравнительно малая часть энергии накапливается в органическом веществе и геохимических аккумуляторах.
7.3 Альбедо как характеристика подстилающей поверхности.
Энергией для большинства земных процессов является лучистое излучение Солнца, поступление которого изменяется в течение года и зависит от географической широты. В географической оболочке потоки солнечной радиации существенно трансформируются: отражаются, поглощаются, рассеиваются. Отношение отраженной радиации к суммарной (прямой и рассеянной) называется альбедо и выражается формулой

где а — альбедо, выраженное в % или долях единицы; Qотр — отраженная солнечная радиация; Q+q — суммарная солнечная радиация; Q — прямая; q — рассеянная.
Альбедо зависит от многих причин: высоты Солнца, облачности, характера подстилающей поверхности, времени года. Альбедо суши в среднем больше, чем альбедо водной поверхности, за счет этого вода поглотитель тепла. У снега высокий альбедо, у пустыни низкий. Планетарное альбедо Земли оценивают в 0,3—0,35.

7.4 Спектр электромагнитного излучения.
Электромагнитное излучение Солнца содержит широкий спектр волн разной длины (рис. 7.1). Ультракоротковолновая радиация (длина волн менее 0,1027 мкм) проникает до высоты 100—200 км, где она задерживается в ионосфере. Более длинные волны распространяются до высоты 70-80 км. Жесткая ультрафиолетовая радиация практически полностью поглощается в слое максимальной концентрации озона на высоте 25-28 км. В тропосферу и непосредственно к земной поверхности поступают мягкая ультрафиолетовая радиация (0,29—0,40 мкм), а также видимое световое (0,40—0,74 мкм) и инфракрасное излучение (0,74—2,4 мкм). Одновременно в географическую оболочку поступает радиоволновое излучение (от Солнца и из Космоса), энергетическое значение которого невелико. Наряду с электромагнитными потоками в атмосферу проникает корпускулярный поток заряженных частиц — «солнечный» и «космический» ветер. Их суммарная энергия в несколько тысяч раз меньше электромагнитной энергии и уступает (в количественном выражении) даже эндогенной энергии. Корпускулярный поток почти полностью поглощается магнитосферой и верхними слоями атмосферы. Его изменчивость, обусловленная пульсациями солнечной активности, вызывает возмущения геомагнитного поля, что отражается на биологических процессах.
7.5 Распределение тепла; тепловой баланс земной поверхности и его компоненты.
Земная поверхность, поглощая солнечную радиацию и нагреваясь, сама становится источником излучения тепла в атмосферу и через нее в мировое пространство. Чем выше температура поверхности, тем выше излучение. Собственное длинноволновое излучение Земли большей частью задерживается в тропосфере, которая при этом нагревается и излучает радиацию — противоизлучение атмосферы. Разность между излучением земной поверхности и противоизлучением атмосферы называется эффективным излучением. Оно показывает фактическую потерю тепла поверхностью Земли и составляет около 20%.
Атмосфера в отличие от земной поверхности больше излучает, чем поглощает. Дефицит энергии компенсируется приходом тепла от земной поверхности вместе с водяным паром, а также за счет турбулентности (в процессе подъема нагретого у земной поверхности воздуха). Возникающие между низкими и высокими широтами температурные контрасты сглаживаются за счет адвекции — переноса тепла морскими и главным образом воздушными течениями от низких широт к высоким (рис. 7.2, правая часть). Для общегеографических выводов важны также ритмические колебания радиации из-за смены времен года, так как от этого зависит тепловой режим конкретной местности. Отражательные свойства земных покровов, теплоемкость и теплопроводность сред еще больше усложняют перенос тепловой энергии и распределение теплоэнергетических характеристик.
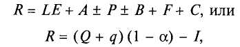
Уравнение теплового баланса.Количество тепла описывается уравнением теплового баланса, которое у каждого географического района свое. Его важнейшим компонентом является радиационный баланс земной поверхности. Солнечная радиация расходуется на нагревание почвы и воздуха (и воды), испарение, таяние снега и льда, фотосинтез, почвообразовательные процессы и выветривание горных пород. Поскольку для природы всегда характерно равновесие, равенство наблюдается между приходом энергии и ее расходом, что выражается уравнением теплового баланса земной поверхности:

где R — радиационный баланс; LE — тепло, затрачиваемое на испарение воды и таяние снега или льда (L — скрытое тепло испарения или парообразования; Е — скорость испарения или конденсации); А — горизонтальный перенос тепла воздушными и океаническими течениями или турбулентным потоком; Р — теплообмен земной поверхности с воздухом; В — теплообмен земной поверхности с почвой и горными породами; F — расход энергии на фотосинтез; С — расход энергии на почвообразование и выветривание; Q+q — суммарная радиация; а — альбедо; I — эффективное излучение атмосферы. На долю энергии, расходуемой на фотосинтез и почвообразование, приходится менее 1% радиационного бюджета, поэтому в уравнении эти составляющие часто опускаются. Однако в реальности они могут иметь значение, поскольку эта энергия обладает способностью аккумулироваться и преобразовываться в другие виды (превратимая энергия). Маломощный, но продолжительный (сотни миллионов лет) процесс накопления превратимой энергии оказал существенное влияние на географическую оболочку. В ней скопилось около 11×1014 Дж/м2 энергии в рассеянном органическом веществе в осадочных породах, а также в виде каменного угля, нефти, сланцев. Уравнение теплового баланса можно вывести для любого географического района и отрезка времени, учитывая специфичность климатических условий и вклад компонентов (для суши, океана, районов с льдообразованием, незамерзающих и др.).
Основная доля тепла поступает от испарение воды. Тепловой баланс зависит от географической широты и св-в подстилающей поверхности. Он изменяется не только при движении от экватора к полюсам, но и при переходе с суши на море. Гео следствием распределения тепла по зем шару яв-ся поле темп-ры. Средняя темп-ра земли повышается +15 градусов цельсия. Ее наибольшее значение наблюдается на термическом экваторе (прим 5 градусов с.ш. на океанах и 10 градусов с.ш. на суше)






