Древесина является уникальным природным строительным материалом, она обладает сравнительно высокой прочностью при небольшой объемной массе (высоким коэффициентом конструктивного качества), достаточной упругостью, низкой тепло- и звукопроводностью, высокой декоративностью, легко поддается механической обработке.
Конструкции из древесины обладают комфортным микроклиматом, они просты в сборке, легки, транспортабельны. Все это определяет широкое применение деревянных конструкций в различных областях народного хозяйства, особенно в гражданском и сельском строительстве.
Древесина - природный полимерный композит, основные макромоле-кулярные компоненты которого целлюлоза, гемицеллюлозы, лигнин присутствуют в древесине всех видов. В небольших количествах в древесине присутствуют экстрактивные и минеральные вещества. Химические компоненты древесины представлены на схеме ( рис.19), а химический состав древесины некоторых хвойных и лиственных пород - в табл. 3.

|
|
|
Рисунок 25 - Схема химических компонентов древесины
Таблица 3- Химический состав древесины некоторых пород,%
| Традиционное название | Целлюлоза | Пенто-заны | Лигнин | Низкомолекулярные вещества, растворимые в | Зола | |
| спирто-бензольной смеси | горячей воде | |||||
| Хвойные породы | ||||||
| Лиственница сибирская | 41,5 | 8,9 _ | 26,4 | 2,8 | 13,8 | 0,2 |
| Ель европейская | 46,0 | 8,3 | 27,3 | 2,0 | 2,0 | |
| Сосна обыкновенная | 52,2 | 8.2 | 26.3 | |||
| Лиственные породы | ||||||
| Ольха | 43,4 | 23,0 | 23,9 | 0,5 | ||
| Береза | 45,3 | 25,3 | 23,9 | 2,1 | 0,4 |
Целлюлоза - главный компонент древесины как хвойных, так и лиственных пород, занимающий примерно её половину. Целлюлоза представляет собой линейный полимер с высокой молекулярной массой, построенной из остатков P-D-глюкозы. Целлюлоза выполняет функцию основного компонента клеточных стенок растений (древесины).
Целлюлоза относится к классу углеводов - полисахаридов, общая формула которых CmH2nOn. Целлюлоза - линейный полимер стереорегулярного строения. Эмпирическая формула целлюлозы (C6H10О5)n. Молекулярная масса целлюлозы колеблется в широких пределах от 30000 до 5 000 000, что соответствует степени полимеризации "n" от 175 до 30 000. Элементарным звеном макромолекулы целлюлозы является остаток D-глюкозы.
Глюкоза С6Н10О5 является альдозой (полиоксиальдегидом) и содержит оксигруппы и альдегидную группы. В растворах глюкоза существует в двух формах - цепной и циклической, которые находятся в равновесии.

Выделенные гидроксильные группы у 1-го атома С - глюкозидные.
Циклическая полуацетальная форма образуется при переходе атома водорода гидроксильной группы у С5-атома к кислороду карбонильной группы.
|
|
|
Такой переход объясняется соответствующей поляризацией связей С=О и О-Н, а также тем, что молекула глюкозы в пространстве изогнута, так что гидроксил у С5-атома находится рядом с кислородом карбонильной группы, что показано на схеме 1:

Схема 1
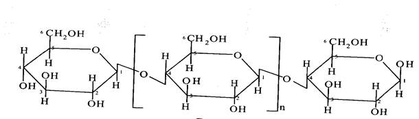
С точки зрения стереоизомерии в зависимости от пространственного положения гидроксила у последнего асимметрического атома углерода, считая сверху от углерода, связанного с карбонильной группой, проводится отнесение моносахаридов к ряду D- или L. В представленной молекуле глюкозы такой последний асимметрический атом углерода 5-й. Если гидроксил у С5-атома расположен справа - это D-глюкоза, а если слева L-i/токоза. Целлюлоза состоит из макромолекул, в которых остатки D-глюкопиранозы связаны Р-глюкозидными связями в положениях 1,4' через атомы кислорода.
Образование целлюлозы из молекул глюкозы упрощенно можно выразить схемой 2:

Схема 2
Строение макромолекулы целлюлозы можно представить в следующем виде, схема 3:

Схема 3
Полиозы (гемицеллюлозы) тесно связаны с целлюлозой в клеточной стенке. Молекулярные цепи полиоз намного короче цепей целлюлозы. Основными представителями являются гексозаны и пентозаны. Древесина лиственных пород содержит больше полиоз, чем древесина хвойных пород. Целлюлоза и полиозы составляют полисахаридную часть древесных веществ.
Лигнин - третий макромолекулярный компонент древесины. Лигнин -полимер, макромолекулы которого построены из производных фенилпро-пана.

гдеХ, Y, Z –Н или функциональные группы чаще всего ОН, ОСН 3, >С=0 и др.
Рисунок 26 - Общая формула мономерной единицы лигнина
Лигнин совместно с полисахаридами древесины (целлюлозой и полиозами) составляет лигноуглеводный комплекс (ЛУК), строение которого определяет основные физические и химические свойства древесины.
Несмотря на многочисленные исследования по химии и физической химии лигнина, можно считать, что классического определения лигнина как совокупности определенных химических соединений на сегодня не существует.
Наличие свободных оксигрупп в молекуле целлюлозы определяет её основные характерные реакции. Целлюлоза является химически наиболее устойчивым компонентом древесины. В научной литературе доказано, что закономерности химических превращений целлюлозы однозначно проецируются на древесину.