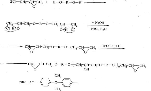
Эпоксидные полимеры - это простые полиэфиры (polyethers). Один из самых распространенных эпоксидных полимеров (или эпоксидных смол) получают из эпихлоргидрина глицерина и бисфенола А (диана).

Полученные эпоксидные смолы представляют собой линейные термопластичные полимеры в виде вязких жидкостей или твердых хрупких веществ. Наличие в этих полимерах остаточных оксиэтиленовых и гидроксильных групп позволяет производить отверждение различными веществами, способными реагировать с этими группами. К таким отвердителям относятся полиамины и другие вещества.
Схема реакции отверждения:

При отверждении эпоксидные полимеры приобретают пространственную трехмерную структуру, становятся нерастворимыми и термореактивными.
На их основе готовят различные связующие для производства пластических масс (в основном стеклопластиков), конструкционные клеи и клеевые композиции с добавлением пластификаторов, эмали и шпаклевки, лакокрасочные материалы, химические мастики, замазки и полимербетоны. Их используют также для гидроизоляции железобетонных сооружений и антикоррозионной защиты металлических конструкций.






