Разрешающая способность микроскопа, т.е. наименьшее расстояние, при котором две точки еще можно видеть отдельно друг от друга составляет ~l/2 (0,4-0,7 мкм в видимой частиспектра). Т.о. в наилучший микроскоп видны частицы размером ³0,2 мкм. Т.о. кол частицы лежат за пределами видимости в обычном микроскопе.
При ультрамикроскопии на кол систему сбоку направляют сильный луч света и с помощью обычного микроскопа наблюдают рассеянный частицами свет. По существу, принцип ультрамикроскопии сводится к наблюдению под микроскопом конуса Тиндаля. В обычном микроскопе наблюдение ведется в проходящем свете, частицы при этом кажутся темными, т.к. поглощают свет, а само поле – светлым. При наблюдении в ультрамикроскоп, наоборот поле зрения темное, т.к. лучи от источника света не попадают в глаз наблюдателя, а кол частицы воспринимаются как светящиеся точки из-за рассеяния света.
При ультрамикроскопии необходимо соблюдать условия:
1.Чтобы частицы визуально не сливались друг с другом, расстояние между ними должно быть больше, разрешающей способности микроскопа. Т.о. золь должен быть разбавлен.
|
|
|
2.Часлицы должны быть средней степени дисперсности. Если они очень малы, их не видно из-за незначительной интенсивности рассеянного ими света. Если они велики, дифракционные кольца вокруг них будут мешать наблюдению.
3.Коэффициент преломления дис фазы должен сильно отличаться от коэффициента преломления д среды, иначе частицы будут мало заметными.
С помощью ульрамикроскопа можно косвенным способом определить размеры частиц, зная массовую концентрацию. В выделенном микрообъеме многократно подсчитывают число частиц и находят частичную концентрацию n=n/V; c=nrpr34/3.
Если частицы несферической формы, то они мерцают, т.к. при броуновском движении поворачиваются к световому лучу различными плоскостями и посылают в глаз наблюдателя различное количество рассеянного света. Т.о. можно получить представление о форме частиц.
В электронном микроскопе вместо световых лучей используется пучок быстрых электронов. Электроны обладают как квантовой, так и волновой природой. Длина волны меньше размеров атома, поэтому разрешающая способность достигает (5-10)10-10м. Изображение получают на флуоресцирующем экране, его можно увеличить и сфотографировать. Для фокусировки пучка электронов применяют электромагнитные катушки, создающие электростатические или магнитные поля. Для уменьшения рассеяния электронов внутри эл. микроскопа поддерживается высокий вакуум. С этой же целью исследуют объекты малой толщины, нанесенные на тончайшую нитроцеллюлозную (кварцевую, углеродную и пр.) пленку. W, эл пушка.
|
|
|
Недостаток метода в том, что очень сложна подготовка объектов исследования, трудно поддерживать высокий вакуум. Исследуемый объект – это сухой остаток, содержащий кол частицы, а не вся система в целом.
НЕФЕЛОМЕТРИЯ
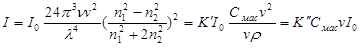
В основе метода ур-е Релея. Определяя интенсивность рассеянного системой света, можно рассчитать или концентрацию, или размер частиц д фазы, изучать коагуляцию.
Метод обладает высокой чувствительностью и простотой.

Зная Смас и определив экспериментально абсолютную интенсивность падающего и рассеянного света, можно рассчитать средний объем частицы. Сделать это можно при помощи сложных приборов (тиндальметров), при этом нужно использовать монохроматический свет. Поэтому широкое распространение получили относительные методы нефелометрии.
При относительных измерениях опалесценцию исследуемого раствора сравнивают с опалесценцией стандартного раствора той же концентрации, размер частиц которого известен. В две кюветы наливают исследуемый и стандартный золь. Поднимая или опуская экраны у кювет, в приборе добиваются одинаковой освещенности. При этом интенсивность рассеянного исс.золемI и стандартным золем Icт равны IoK´´Cмасvиссhисс =I0K´´Cмасvcтhст, где hисс и hст – высота освещенного столба жидкости в каждой кювете.
vиссhисс =vcтhст или vисс =vcтhст/hисс.
Результаты однозначны, если система монодисперсна. Уравнение Релея справедливо для высокодис.золей, поэтому метод применим для малых частиц.
Нефелометр используют и для определения концентрации д фазы по формуле сисс=сcтhст/hисс. При этом исследуемый и стандартный золь должны содержать частицы одной природы и одного размера.
Для определения размера кол частиц можно использовать не только интенсивность рассеянного света, но и ослабление интенсивности проходящего света за счет светорассеяния (турбидиметрия). При этом измерения ведут при помощи колориметров или спектрофотометров для определения мутности.






