
Дисперсией случайной величины называют математическое ожидание квадрата отклонения случайной величины от ее математического ожидания:
Дисперсию удобно вычислять по формуле
Свойства дисперсии:
Средним квадратическим отклонением случайной величины называют квадратный корень из ее дисперсии:
17.Биномиальный закон распределения и его числовые характеристики (вывод формулы).
Пусть проводится n независимых испытаний. В результате каждого из которых возможны 2 исхода: А – успех с вероятностью p, или
- неуспех с вероятностью q = 1-p. Тогда вероятность числа m успех 
Дискретная случайная величина X, которая может принимать только целые неотрицательные значения с вероятностями P (X=m)=
, где p>0, q>0, m
0,n называется распределенной по биноминальному закону с параметром p.
Мат.ожидание
M(X)= np
Дисперсия

D(x)= 
- среднее квадратическое отклонение
18.Закон Пуассона и его числовые характеристики (вывод формулы). Простейший поток событий.
Когда требуется спрогнозировать ожидаемую очередь и разумно сбалансировать число и производительность точек обслуживания и время ожидания в очереди. Пуассоновским называют закон распределения дискретной случайной величины Х числа появления некоторого события в n-независимых опытах если вероятность того, что событие появится ровно m раз определяется по формуле.
a=np
n-число проведенных опытов
р-вероятность появления события в каждом опыте
В теории массового обслуживания параметр пуассоновского распределения определяется по формуле
а=λt, где λ - интенсивность потока сообщений t-время
Необходимо отметить, что пуассоновское распределение является предельным случаем биномиального, когда испытаний стремится к бесконечности, а вероятность появления события в каждом опыте стремится к 0.
Пуассоновское распределение является единичным распределением для которого такие характеристики как мат. Ожидание и дисперсия совпадают и они равны параметру этого закона распределения а.
19.Геометрическое и гипергеометрическое распределения и их характеристики (вывод формулы). 1. Геометрическое распределение. Пусть производятся независимые испытания, в каждом из которых вероятность появления события А равна р (О < р < 1) и, следовательно, вероятность его не появления q = 1 - р. Испытания заканчиваются, как только появится событие А (т.е. количество испытаний неограниченно). Таким образом, если событие А появилось в k-м испытании, то в предшествующих k— 1 испытаниях оно не появлялось. Обозначим через X дискретную случайную величину - число испытаний, которые нужно провести до первого появления события А. Очевидно, возможными значениями Х являются натуральные числа: 1, 2, 3… Пусть в первых k— 1 испытаниях событие А не наступило, а в k-м испытании появилось. Вероятность этого «сложного события», по теореме умножения вероятностей независимых событий, 
Полагая k= 1, 2,... в формуле, получим геометрическую прогрессию с первым членом р и знаменателем q 
По этой причине распределение называют геометрическим. Легко убедиться, что ряд сходится и сумма его равна единице. Действительно, сумма ряда есть сумма членов бесконечной геометрической прогрессии со знаменателем меньшим единицы, тогда сумма его: 
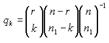
Замечание: если количество испытаний ограничено каким- либо натуральным числом k, то последнее значение вероятности в ряде распределения будет равно q k -1, означающее, что в предыдущих k -1 испытаниях событие А не появилось. 2.Гипергеометрическое распределение. Многие задачи комбинаторики могут быть сведены к следующей модели. В генеральной совокупности из n элементов имеется
элементов красного цвета и
черного. Случайным образом выбирается группа из r элементов. Найдем вероятность
того, что так выбранная группа будет содержать ровно k красных элементов. Здесь k может быть любым целым числом между нулем и наименьшим из чисел
и r.
Для того, чтобы найти
, заметим, что выбранная группа состоит из k красных и r-k черных элементов. Красные элементы могут быть выбраны
различными способами, а черные
способами. Так как любой выбор красных элементов может комбинироваться с любым выбором черных, имеем
… (1).Определенный таким образом набор вероятностей называется гипергеометрическим распределением. Используя формулу
можно переписать (1) в виде
… (2).
Замечание. Вероятности
определены только для k, не превосходящим r или
, но, так как при b>a
, из формулы (1) и (2) следует, что
= 0, если либо k>
, либо k>r. Следовательно, определения (1) и (2) могут использоваться для всех при условии, что соотношение
= 0 интерпретируется как невозможность такого выбора.
Примеры.
Проверка качества. При контроле качества продукции выборочной проверке подвергается партия из n изделий. Дефектные изделия в партии играют роль красных элементов. Их число
, конечно, не известно. Производится выборка объема r и определяется число k дефектных изделий в ней. Тогда формула (1) позволяет нам сделать выводы относительно истинного значения
.
20.Функция распределения непрерывной случайной величины и ее свойства. График функции распределения НСВ. Функцией распределения называют функцию Р (х), определяющую для каждого значения х вероятность того, что случайная величина Х примет значение, меньшее х, т. е.
F(х)=Р(Х<х).Часто вместотермина «функция распределения»используюттермин «интегральный закон распределения». свойства: