Создайте форму с элементами управления как приведено на рис. 6.1. Опишите одномерный массив. Создайте обработчики события для кнопок (код приведен ниже). Данная программа заменяет все отрицательные числа нулями. Протестируйте правильность выполнения программы. Модифицируйте программу в соответствии с индивидуальным заданием.

Рис. 6.1. Окно программы для работы с одномерными массивами
using System;
using System.Collections.Generic;
using System.ComponentModel;
using System.Data;
using System.Drawing;
using System.Linq;
using System.Text;
using System.Windows.Forms;
namespace WindowsFormsApplication1
{
public partial class Form1: Form
{
int[] Mas = new int[15];
public Form1()
{
InitializeComponent();
}
private void button1_Click(object sender, EventArgs e)
{
Random rand = new Random();
textBox1.Text = "";
for (int i = 0; i < 15; i++)
{
Mas[i] = rand.Next(-50, 50);
textBox1.Text += "Mas[" + Convert.ToString(i) +"] = "
+ Convert.ToString(Mas[i]) + Environment.NewLine;
}
}
private void button2_Click(object sender, EventArgs e)
{
textBox2.Text = "";
for (int i = 0; i < 15; i++)
{
if (Mas[i] < 0) Mas[i] = 0;
textBox2.Text += "Mas[" + Convert.ToString(i) + "] = "
+ Convert.ToString(Mas[i]) + Environment.NewLine;
}
}
}
}
Варианты заданий
1) В массиве из 20 целых чисел найти наибольший элемент и поменять его местами с первым элементом.
|
|
|
2) В массиве из 10 целых чисел найти наименьший элемент и поменять его местами с последним элементом.
3) В массиве из 15 вещественных чисел найти наибольший элемент и поменять его местами с последним элементом.
4) В массиве из 25 вещественных чисел найти наименьший элемент и поменять его местами с первым элементом.
5) Дан массив X, содержащий 27 элементов. Вычислить и вывести элементы нового массива Y, где yi =6.85xi2-1.52. Если yi<0, то вычислить и вывести a=xi3-0.62 и продолжить вычисления; если yi³0, то вычислить и вывести b=1/xi2 и продолжить вычисления.
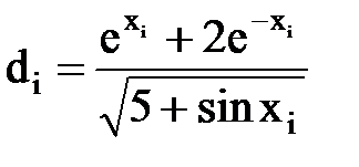
6) Дан массив X, содержащий 16 элементов. Вычислить и вывести значения di, где
и значения di>0.1.
7) Дан массив Y, содержащий 25 элементов. Записать в массив R и вывести значения элементов, вычисляемые по формуле
, i=1,2,…,25.
8) Дан массив F, содержащий 18 элементов. Вычислить и вывести элементы нового массива pi=0.13fi3-2.5fi+8. Вывести отрицательные элементы массива P.
9) Вычислить и вывести элементы массива Z, где zi=i2+1, если i – нечетное, и zi=2i-1, если i – четное. Сформировать и вывести массив D: di=2.5zi, если zi<2.5 и di=zi/2.5, если zi³2.5.
10) Заданы массивы D и E. Вычислить и вывести значения fi=(2di+sin ei)/di, где i=1,2,…,16; вывести 1<fi<3.
11) В массиве R, содержащем 25 элементов, заменить значения отрицательных элементов квадратами значений, значения положительных увеличить на 7, а нулевые значения оставить без изменения. Вывести массив R.
12) Дан массив A целых чисел, содержащий 30 элементов. Вычислить и вывести сумму тех элементов, которые кратны 5.
13) Дан массив A целых чисел, содержащий 30 элементов. Вычислить и вывести сумму тех элементов, которые нечетны и отрицательны.
|
|
|
14) Дан массив A целых чисел, содержащий 30 элементов. Вычислить и вывести сумму тех элементов, которые удовлетворяют условию |ai|<i2.
15) Дан массив A целых чисел, содержащий 30 элементов. Вычислить и вывести количество и сумму тех элементов, которые делятся на 5 и не делятся на 7.
16) Дан массив A вещественных чисел, содержащий 25 элементов. Вычислить и вывести число отрицательных элементов и число членов, принадлежащих отрезку[1,2].
17) Дан массив C, содержащий 23 элемента. Вычислить и вывести среднее арифметическое всех значений ci>3.5.
18) Дан массив Z целых чисел, содержащий 35 элементов. Вычислить и вывести R=S+P, где S – сумма четных элементов, меньших 3, P – произведение нечетных элементов, больших 1.
19) Дан массив Q натуральных чисел, содержащий 20 элементов. Найти и вывести те элементы, которые при делении на 7 дают остаток 1,2 или 5.
20) Дан массив Q натуральных чисел, содержащий 20 элементов. Найти и вывести те элементы, которые обладают тем свойством, что корни уравнения qi2+3qi-5=0 действительны и положительны.
21) Дан массив, содержащий 10 элементов. Вычислить произведение элементов, стоящих после первого отрицательного элемента. Вывести исходный массив и результат вычислений.
22) Дан массив, содержащий 14 элементов. Вычислить сумму элементов, стоящих до первого отрицательного элемента. Вывести исходный массив и результат вычислений.
23) Дан массив содержащий 12 элементов. Все четные элементы сложить, вывести массив и результат.
24) Дан массив, содержащий 15 элементов. Все положительные элементы возвести в квадрат, а отрицательные умножить на 2. Вывести исходный и полученный массив.
25) Дан массив, содержащий 14 элементов. Все отрицательные элементы заменить на 3. Вывести исходный и полученный массив.






