Спрос — это запрос фактич-о или потенц-го покуп-я, потреб-я на приобр-е Т по имеющимся у него средствам, к.е предназначены для этой покупки. Спрос отражает, с одной стороны, потреб-ть покуп-ля в нек.х ТиУ с другой стороны, возм-ость оплатить покупку по цене, находящейся в пределах «доступного» диапазона. Спрос характеризуется рядом свойств из к.х следует выделить V или величину спроса. С позиций количественного измерения спрос на Т, понимается как V спроса, означает кол-во данного Т, которое покупатели (потребители) желают, готовы и имеют денежную возм-ость приобрести за нек.й период по определенным ценам. Величина спроса — кол-во Т или У определенного вида и качества, которое покупатель желает купить по данной цене в течение определ-го периода времени. Величина спроса зависит от д-дов покупателей, цен на Т и Уи. З-н спроса — величина (V) спроса уменьшается по мере увеличения цены Т. То есть повыш-е цены вызывает понижение величины спроса, снижение же цены вызывает повыш-е величины спроса. Нецен. ф-ры, влияющие на спрос: Уровень д-дов в обществе; Размеры рынка; Мода, сезонность; Наличие Т-субститутов (заменителей); Инфляционные ожидания. В микроэк-ки з-н спроса формулируется строже: Если с ростом д-да спрос на Т увеличив-я, то с ростом цены данного Т спрос на него д-ен уменьшаться. График спроса — отношение м/у рыночной ценой Т и денежн. выраж-ем спроса на неё. Кривая спроса показ-ет вероятное кол-во Т, к.й удаётся продать за определен-е время и по -й цене. Чем эластичнее спрос, тем выше цена м.б. установлена на Т. Эластичность спроса — это реакция рынка на отсутствие Т, возм-ость его замены, цену конкурентов, понижение цен. Предлож-е — возможн-ть и желание продавца предлагать свои Т для реализ-и на рынке по определённым ценам. С позиции количественного измерения предлож-е характеризуется по своей величине и Vу. V, величина предлож-я — это кол-во продукта (Т, У), к.ю продавец (производитель), м-ет и способен в соотв-вии с наличием или производ-ными возможн-ми предложить для продажи на рынке в течение нек.го периода времени при определённой цене. Как и V спроса, величина предлож-я зависит не только от цены, но и от ряда неценовых ф-ров, включая производственные возм-ости, состояние технологии, ресурсное обеспечение, уровень цен на другие Т, инфляционные ожидания. З-н предлож-я — при прочих неизменных ф-рах величина (V) предлож-я увеличивается по мере увеличения цены на Т. Ф-ры, влияющие на предлож-е: 1. Наличие Т заменителей. 2. Наличие Т-комплементов (дополняющих). 3. Уровень технологий. 4. V и доступность ресурсов. 5. Н-ги и дотации. 6. Природные условия 7. Ожидания (инфляционные, социально-политические) 8. Размеры рынка График предлож-я (кривая предлож-я) показывает соотношение м/у рыночными ценами и кол-вом Т, к.е производители желают предложить. Основной ф-р, влияющий на движ-е кривой предлож-я — это издержки пр-ва. В эк.теории сущ-ет понятия микроэк-го и макроэк. равновесия. Под микроэк-м равновесием понимается достижение равновесия на отдельных рынках. На рынках конкурентных Т равновесие устанавл-ся в резул-те колебаний спроса на опред-й Т и его предложения. При совпадении спроса и предлож-я говорят о равновесии на рынке данного Т. В рез-те устанавл-ся равновесная цена и равнов-й V спроса и предлож-я Т. Условием равновесия на рынках факторов пр-ва явл-ся равенство предельного д-да продукта предельным издержкам ресурсов.Макроэк-е равнов – это состояние национальной эк-ки, для к.го характерны пропорцион-сть и сбалансиров-сть взаимосв-ых эк-х процессов. Макроэк-е равнов охватывает все рынки национальной эк-ки. Эк.теория имеет дело не со стабильным равнов-м, а с постоянным его нарушением, что м-о образно назвать «равнов-неравнов». Неравнов, т.е. оно предст-т собой отклонение цен от ст-ти, результатов – от затрат. Во2х, равнов, как и неравнов, м-ет играть как позитивную роль в условиях рынка (стимулируя, например, эк-ий рост), так и негативную, иногда вынуждая эк-ие субъекты действовать вопреки их глубинным экономическим интересам (например, сокращение пр-ва как результат перехода эк-ки в стадию депрессии). В-3х, макроэк-е равнов следует рассматривать как абстрактный модельный идеал, его никогда не было, но с него надо начинать исследование макроэк-ки.
|
|
|
|
|
|
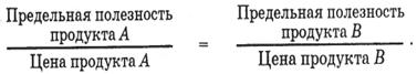
2) Теория потреб-го поведения, равнов потребителя.Потреб-кое повед-е – это процесс формир-я спроса потреб-ей на разнообразные ТиУ. Потребляя блага, чел-ек получает удовольствие, удовлетвор-е –полезн-ть, к.я субъективна. Поведение типичного потреб-ля в рын. эк. предст-ет существ-ый интерес. Необходимо проанализ-ть, каким образом потреб-ли б-ут расходовать свои ден. д-ды м/у разл-ми ТиУ, к.е они м-ут купить. Чтобы это понять, необх-мо рассмотреть ф-ры, влияющие на повед-е потреб-ля. 1. Мах ТиУ при min р-дов. Такое повед-е потреб-ля рассм-я как разумное повед-е. Типичный потреб-ль стремится получить за свои деньги «все, что м-о», или, используя спец-ную терминологию, максимизировать совок-ю полезность. 2. Предпочтения. Сред-й потреб-ь имеет достаточно отчетливую систему предпочтений в отнош-и ТиУ, предлагаемых на рынке. Покуп-ли прекрасно предст-т себе, какую предел-ю полезн-ь они извлекут из каждой послед-ей единицы разл-х продуктов, к.е они надумают купить. 3. Д-д потреб-ля. Иначе этот «шаг» рассматр-ся как «бюдж-е сдерживание». Ден-й д-д имеет огранич-ю величину, п.э м-о купить огранич-е кол-во Т. За неск-ми исключ-ми все потреб-ли испытывают на себе сдерживающее влияние б-та. 4. Цены. На все ТиУ, предлагаемые потреб-лю, есть цены, потому, что их пр-во требует издержек редких и, следов-но, ценных рес-ов. Потреб-ль д-ен идти на компромиссы; он д-ен выбирать м/у альтерн-ми прод-ми, чтобы при ограничен-ти ден. рес-в получить в свое распоряж-е наиб-е удовлетвор-й, набор ТиУ. Вопрос сводится к след-му: к.й именно набор ТиУ из тех, что потреб-ль м-т приобрести, не выходя за пределы своего б-та, принесет ему наиб-ую полезность или удовлетвор? Правило максимиз-и полезности потреб-ля заключ-я в таком распред-и ден. д-да, когда последний $, затраченный на приоб-е кажд. вида прод-в, приносит один-ю добав-ю полезность. Если потреб-ль «уравновесит свои пред-е полезности» в соотв-и с этим правилом, то ничто не будет побуждать его к изменению стр-ры р-в. Потреб-ль б-ет наход-ся в сост-и равнов. Совок-я полезн-ть понизится при любом измен-и набора приобрет-х Т. Согласно правилу максимиз-и полезн-и потреб-ль м-т максим-ть полезн-ь, если он распр-ит свой ден. д-д т.о., чтобы последний $, израсход-й на продукт А, а также посл-й $, израсход-й на продукт В, и так далее принесут одинак-е кол-во добав-й, или предел-й, полезности. Пред-ю полезность в расчете на $, затрач-й на продукт А, обозначим как MU продукта А, деленное на цену продукта А, а пред-ю полезн-ь в расчете на $ затрат на продукт В – как MU продукта В, деленное на цену продукта В. Правило максим-и полезн-и требует, чтобы эти соотнош-я были =. А именно:
Рассмотрим теор. потреб. повед. и потр. равнов. на основе ан-за: 1) бюджетной линии потребителя и 2) кривых безразличия.
|
|
|
Бюджетная линия потребителя показывает различные комбинации двух продуктов, которые могут быть приобретены при фиксированной величине денежного дохода (рис. 7.2).

Рис. 7.2. Бюджетная линия потребителя
Два свойства бюджетной линии заслуживают внимания.
1. Изменение дохода: расположение бюджетной линии зависит от величины денежного дохода, т.е. увеличение денежного дохода приводит к перемещению бюджетной линии вправо, уменьшение денежного дохода перемещает ее влево.
2. Изменение цены: изменение цен продуктов также приводит к перемещению бюджетной линии. Снижение цен обоих продуктов перемещает график вправо. И наоборот, увеличение цен перемещает график влево.
Кривая безразличия показывает множество потребительских пар, выбор которых безразличен для потребителя при данном доходе. По определению, кривые безразличия демонстрируют все возможные комбинации продуктов А и В, дающие потребителю равный объем удовлетворения потребности, или полезности. На рисунке 7.3 представлена гипотетическая кривая безразличия, включающая продукты А и В. Субъективные предпочтения потребителя таковы, что он реализует одинаковую совокупную полезность А и В при любой их комбинации, показанной на графике; следовательно, потребителю будет безразлично, какую именно комбинацию продуктов он действительно приобретет.

Рис. 7.3. Кривая потребительского безразличия
Характерные черты кривых безразличия:
|
|
|
1. Нисходящий вид кривой. Кривые безразличия имеют вид нисходящих по той простой причине, что как продукт А, так и продукт В обладают полезностью для потребителя. Следовательно, двигаясь от комбинации j к комбинации k, потребитель приобретает больше продукта В, тем самым увеличивая для себя его совокупную полезность; соответственно для уменьшения совокупной полезности на точно такую же величину потребитель должен отказаться от некоторого количества продукта А. Иначе говоря, чем больше В, тем меньше А, так что между количествами А и В существует обратная связь, а любая кривая, выражающая обратную связь переменных, имеет нисходящий вид.
2. Выпуклость по отношению к началу координат. Субъективная готовность потребителя к замещению продукта А продуктом В (или наоборот) зависит от начальных количеств продуктов
А и В. В общем, чем больше количество продукта В, тем меньше предельная полезность его дополнительных единиц. Аналогичным образом, чем меньше количество продукта А, тем больше его предельная полезность. Это значит (рис. 7.3), что при перемещении вниз по кривой потребитель будет готов отказаться от все меньшего и меньшего количества продукта А в порядке компенсации на приобретение каждой дополнительной единицы В. В результате получаем кривую с убывающим наклоном, т.е. выпуклую по отношению к началу координат.
Карта безразличия представляет собой набор кривых безразличия (рис. 7.4). Каждая следующая кривая, дальше отстоящая от начала координат, соответствует большей величине совокупной полезности.

Рис. 7.4. Карта безразличия
Определить равновесное положение потребителя м-о путем совмещения линии потребительского бюджета и карты безразличия, как это показано на рисунке 7.5. Согласно определению бюджетная линия показывает все комбинации продуктов А и В, доступные для потребителя при данной величине его денежного дохода и данном уровне цен продуктов А и В. Вопрос заключается в следующем: какая из этих доступных потребителю комбинаций окажется для него наиболее предпочтительной? Ответ: такая комбинация, которая принесет ему наибольшее удовлетворение или наибольшую полезность.
Итак, комбинация, максимизирующая полезность, будет соответствовать точке, лежащей на наивысшей из доступных потребителю кривых безразличия (рис. 7.5).

Рис. 7.5. Равновесное положение потребителя
Существует одно важное различие между объяснением потребительского спроса с помощью теории предельной полезности и с помощью теории кривых безразличия. Теория предельной полезности предполагает, что полезность количественно измерима. Это означает, что потребитель предполагает, сколько именно добавочной полезности извлекается из добавочной единицы продукта А или В. Для равновесного положения, необходимо, чтобы

Теория кривых безразличия, рассуждая о свойствах бюджетной линии, утверждает, что при данной цене продукта А повышение цены продукта В приведет к перемещению кривой бюджетной линии влево, ближе к началу координат (рис. 7.5). Благодаря манипулированию ценой продукта В при помощи кривых безразличия и бюджетных линий м-о построить нисходящую кривую спроса на продукт В. Заметим, что изменению подвергалась только цена продукта В. Цена продукта А, так же как и величина дохода потребителя и его вкусы, оставалась неизменной на протяжении всего процесса построения кривой потребительского спроса на продукт В. Итак:
- объяснение потребительского поведения с позиций теории кривых безразличия основывается на использовании бюджетной линии и кривых безразличия;
- бюджетная линия показывает все комбинации двух продуктов, которые может купить потребитель при данной величине его денежного дохода и данном уровне цен на продукты. Изменение цен на продукты или величины денежного дохода приведет к перемещению бюджетной линии;
- кривая безразличия показывает все комбинации двух продуктов, которые принесут потребителю одинаковый объем совокупной полезности. Кривые безразличия являются нисходящими и выпуклыми по отношению к началу координат;
- потребитель выберет такую точку на бюджетной линии, которая поставит его на наиболее высокую из всех доступных ему кривую безразличия;
- изменение цены одного из продуктов приводит к смещению бюджетной линии и выявлению нового положения равновесия. Нисходящая кривая спроса может быть построена путем нанесения на график комбинаций цены и количества спрашиваемой продукции, соответствующих старому и новому положениям равновесия.
Если цена продукта B повысится с 1 до 1,5 долл. (рис. 7.6,а), положение равновесия переместится из точки X в точку X' при соответствующем уменьшении количества спрашиваемой продукции с 6 до 3 единиц. Кривая спроса на продукт В строится путем соединения между собой точек, соответствующих различным комбинациям цен и количеств, в частности (1 долл. – 6 единиц и 1,5 долл. – 3 единицы).

Рис. 7.6. Построение кривой спроса: а – два положения равновесия;
б – кривая продукта В






