| № пп | Форма Собственнос-ти | Оборачиваемость запасов, х1 | Коэффициент покрытия, х2 | № пп | Форма собственности | Оборачиваемость запасов, х1 | Коэффициент покрытия, х2 |
| государственная | 5,65 | 0,22 | Частная | 1,23 | 1,18 | ||
| « | 2,86 | 0,35 | « | 0,82 | 1,59 | ||
| « | 1,61 | 1,06 | « | 2,83 | 0,74 | ||
| « | 3,99 | 1,01 | « | 1,83 | 1,52 | ||
| « | 2,17 | 8,88 | « | 2,26 | 2,43 | ||
| « | 1,52 | 1,06 | « | 2,33 | 3,28 | ||
| « | 0,40 | 0,99 | « | 2,35 | 1,13 | ||
| « | 2,18 | 1,07 | « | 1,68 | 0,89 | ||
| « | 1,36 | 4,62 | « | 2,00 | 1,67 | ||
| « | 3,69 | 1,40 | « | 2,64 | 1,48 | ||
| частная | 0,45 | 1,34 | « | 2,75 | 1,51 | ||
| « | 1,0 | 1,16 | « | 3,29 | 5,96 | ||
| « | 2,05 | 2,00 | « | 1,6 | 1,38 | ||
| « | 2,36 | 1,43 | « | 1,90 | 2,39 | ||
| « | 4,90 | 1,76 | « | 3,27 | 3,62 | ||
| « | 3,12 | 1,26 | « | 3,49 | 0,46 | ||
| « | 1,36 | 1,89 | « | 2,92 | 1,26 | ||
| « | 1,56 | 12,36 | смешання | 3,22 | 0,78 | ||
| « | 4,84 | 1,23 | « | 2,61 | 1,67 | ||
| « | 1,23 | 3,26 | « | 5,17 | 0,95 | ||
| « | 0,81 | 2,22 | « | 8,63 | 0,96 | ||
| « | 0,7 | 1,16 | « | 1,06 | 2,51 | ||
| « | 0,87 | 1,21 | « | 2,13 | 3,49 | ||
| « | 0,20 | 1,45 | « | 2,03 | 1,22 | ||
| « | 1,71 | 4,04 | « | 1,82 | 2,92 | ||
| « | 1,83 | 2,07 | « | 3,12 | 1,54 | ||
| « | 1,32 | 0,69 | « | 0,77 | 0,97 | ||
| « | 1,95 | 1,97 | « | 4,15 | 0,93 | ||
| « | 1,46 | 1,31 | « | 3,62 | 1,34 | ||
| « | 2,96 | 5,32 | « | 3,89 | 3,51 |
Предприятия легкой промышленности примем за генеральную совокупность. Ее характеристики:
|
|
|
численность N = 60;
генеральные средние: μ1 = 2,40 число оборотов;
μ2 = 1,424;
генеральные дисперсии: σ21 = 2,24;
σ22 = 4,38;
средние квадратические σ1 = 1,49 оборотов;
отклонения: σ2 = 2,09.
Остановимся на смысле характеристик предприятий: оборачиваемость запасов рассчитывается делением продолжительности периода (полгода) на среднюю продолжительность одного периода оборота запасов. Очевидно, чем скорее оборачиваются запасы, тем выше их отдача. Коэффициент покрытия рассчитывается как отношение суммы всех источников покрытия запасов к стоимости запасов. Если значение этого показателя меньше единицы, то текущее финансовое состояние предприятия рассматривается как неустойчивое. В нашем примере вариация этого признака примерно в 2 раза превосходит вариацию предприятий по уровню оборачиваемости запасов: ν2 = 147%, ν1 = 62%.
Произведем 30%-ную выборку. Объем выборки составит п = 20 предприятий. При формировании выборки методом механического отбора каждое третье предприятие попадет в выборку. Отбор начинаем с полушага отбора, т. е. первым предприятием, попавшим в выборку, является второе по списку. Средние по выборке равны:
оборачиваемость запасов x̅1 =2,16 оборотов, коэффициент покрытия x̅2 =2,01.
Средняя ошибка выборочной средней оборачиваемости запасов
оборотов.
Средняя ошибка выборочного среднего коэффициента покрытия
|
|
|

С вероятностью 0,954 можно утверждать, что средняя оборачиваемость запасов на предприятиях легкой промышленности не ниже
x̅ 1 - 2sx 1 = 2,16 - 0,55 = 1,61 оборотов и не выше x̅1+2sx1 = 2,16 + 0,55 = 2,71 оборотов.
Действительно генеральная средняя (μ1 = 2,40) попадает в этот интервал.
Фактическая ошибка репрезентативности
оборотов.
Эта величина меньше предельной ошибки выборки, гарантированной с принятой доверительной вероятностью, 0,36 < 0,55. Следовательно, выборка репрезентативна по этому признаку.
Вычислим предельную ошибку выборки коэффициента покрытия и определим доверительный интервал для этой характеристики. Его нижняя граница с той же вероятностью
;
верхняя граница:

Генеральная средняя (μ2 = 1,424) так же попадает в доверительный интервал.
Фактическая ошибка репрезентативности составляет:

Эта величина меньше предельной ошибки выборки (0,77), что дает основание считать выборку репрезентативной и по этому признаку.
В генеральной совокупности доля единиц с неустойчивым финансовым положением (х2 < 1) составила
в выборке 
Доверительный интервал для оценки доли таких предприятий в генеральной совокупности составляет с вероятностью 0,954:

0,15 ± 0,076,
т. е. таких предприятий должно быть не меньше 7,4% и не больше 22,6%. Фактически их оказалось 20% от общего числа предприятии, т. е. выборка дает репрезентативный результат и по этому показателю.
Выполненная выборка формировалась как простая бесповторная механическая. Однако, наверняка статистик будет стремиться учесть структуру генеральной совокупности, поэтому более естественной была бы выборка, учитывающая выделение предприятий разных форм собственности. Тогда выборка должна быть районированной.
Рассмотрим пример. Генеральная совокупность состоит из 11 государственных предприятий, 36 частных, 13 смешанных. В выборке эти пропорции соблюдаются следующим образом: отобраны по 4 предприятия государственных и смешанных и 12 - частных:
| Предприятия | Генеральные характеристики | Выборочные характеристики | ||
| средние | доли | средние | доли | |
| Государственные | μ1 = 2.35 | π1 = 0,27 | х̅1 = 1,92 | Р1 = 0,25 |
| Частные | μ1 =2,11 | π2 = 0,11 | х̅1 = 1,79 | Р2=0,08 |
| Смешанные | μ1 =3,25 | π3 = 0,38 | х̅1 =3,51 | Рз - 0,25 |
Средняя из внутрирайонных дисперсий, рассчитанных по каждой группе предприятий в генеральной совокупности:

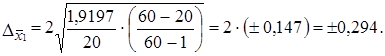
Эта величина меньше общей дисперсии без учета районирования (σ 2 = 2,24). Следовательно, и величина ошибки выборки при районированном отборе будет меньше:

Итак, с вероятностью 0,954 генеральная средняя оборачиваемости запасов находится в интервале 2,16 ± 0,294; 1,866 £ μ £ 2,454.
Чтобы понять, насколько целесообразно в том или ином случае применение районированного отбора, можно воспользоваться корреляционным отношением ц. Согласно правилу сложения дисперсий средняя из внутригрупповых дисперсий может быть представлена как

где h2 - квадрат корреляционного отношения, равный б2:s2.
Следовательно, применение районированной (типической) выборки изменяет предельную ошибку на
. В нашем примере для первой переменной (оборачиваемость) имеем:

Сопоставим полученный результат с изменением предельной ошибки выборки:
(без учета районирования) =0,55;
∆ x (при районировании) = 0,294, т. е. ошибка уменьшилась примерно вполовину.
Корреляционное отношение используется и при корректировке величины
(7.18')
Тогда при вероятности 0,954 и t = 2; t*= 2 - Ö0̅,8̅6̅ = 1,85, т. е. вместо t = 2 достаточно взять t = 1,85.
Многие выборки формируются как многоступенчатые. Ошибка многоступенчатой выборки может быть представлена как

Она складывается из ошибок отдельных ступеней. Поэтому практически используется не больше 2-3 ступеней отбора.
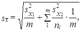
Средняя ошибка выборки при двухступенчатом отборе рассчитывается по формуле
|
|
|

где sx1 2 — дисперсия признака х по совокупности «крупных» единиц;
sx22 — дисперсия признака х в каждой из отобранных «крупных» единиц;
пi - число отобранных единиц наблюдения в <-й «крупной» единице;
т - число отобранных «крупных» единиц.
Таким образом, применение многоступенчатой выборки улучшает организацию выборки, но увеличивает ее ошибку.
Кроме рассмотренных, применяется многофазовая выборка, когда одни сведения собираются на основе изучения всех единиц выборки, а другие - только на основании изучения некоторых из этих единиц, отобранных так, что они составляют подвыборки из единиц первоначальной выборки.
При периодическом повторении выборочных обследований с целью изучения динамики явлений применяются либо независимые выборки — через определенные промежутки времени отбор каждый раз производится независимо от предыдущих выборок; либо фиксированные выборки — в этом случае повторные обследования проводятся по одной и той же выборке. В связи с тем, что в фиксированной выборке могут происходить изменения (прежде всего за счет выбытия единиц) практикуют периодическую адаптацию фиксированной выборки происходящим изменениям. Чаще для целей изучения динамики используется промежуточный вариант - ротационная выборка (частичное замещение). При этом нужно следовать определенному плану замещения, например, каждый раз замещать четверть выборки, тогда каждая первоначальная единица останется в выборке в четырех следующих друг за другом обследованиях.
Названные виды выборок ориентированы на отбор конкретных материальных явлений. Кроме них следует назвать как особый вид выборки метод моментных наблюдений. Сущность метода моментных наблюдений состоит в периодической фиксации состояний.наблюдаемых единиц в отобранные моменты времени. Расчет объема такой выборки дает количество моментов. Этот вид выборочного наблюдения применяется при изучении использования производственного оборудования, либо рабочего времени (см. п. 7.13).
|
|
|






