


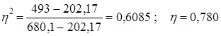
По данным табл. 8.16 имеем:

146,1+195,9+10,5+62,8+77,7=493,0.

Таким образом, за счет предпочтения браков между лицами одинаковых религий на главную диагональ «собралось» 60,85% возможных родительских пар сверх равномерного распределения: связь составила 60,85% предельно тесной. Итак, все способы измерения показали, что влияние религии на формирование супружеских пар в ФРГ в 1993 году было значительное.
Если кроме количественных факторов при многофакторном регрессионном анализе включается и неколичественный, то применяют следующую методику: наличие неколичественного фактора у единиц совокупности обозначают единицей, его отсутствие -нулем. Если таких факторов, или градаций неколичественного фактора несколько, в уравнение регрессии вводятся несколько так называемых «фиктивных переменных», принимающих значения либо единицы, либо нуля. Например, пусть имеется три количественных фактора урожайности (x1, x2, x3) и три природных зоны. В ЭВМ вводятся переменные в порядке их принадлежности к той или иной зоне (табл. 8.18).
Линейное уравнение регрессии будет иметь вид:
ŷ = a +b1x1 + b2x2 + b3x3 + b4u1 + b5u2 (8.57)
Величина коэффициента b4 означает, что все единицы II зоны при тех же значениях количественных факторов, как и единицы I зоны, будут в среднем иметь значение у̂ на b4 больше (или меньше, если b4 < 0), чем единицы совокупности I зоны. Величина b5 озна-

Таблица 8.18

Рекомендуемая литература к главе 8
1. Антон Г. Анализ таблиц сопряженности / Пер. с англ. - М.: Финансы и статистика, 1982.
2. Елисеева И. И. Статистические методы измерения связей. -Л.: Изд-во Ленинградского ун-та, 1982.
3. Елисеева И. И., Рукавишников В. О. Логика прикладного статистического анализа. - М.: Финансы и статистика, 1982.
4. Крастинь О. П. Разработка и интерпретация моделей корреляционных связей в экономике. - Рига: Занатне, 1983.
5. Кулаичев А. П. Методы и средства анализа данных в среде Windows. Stadia 6.0 - М.: НПО Информатика и компьютеры, 1996.
6. Статистическое моделирование и прогнозирование: Учебное пособие / Под ред. А. Г. Гранберга. - М.: Финансы и статистика, 1990.
7. Ферстер Э., Речи Б. Методы корреляционного и регрессионного анализа. Руководство для экономистов / Пер. с нем. - М.: Финансы и статистика, 1983.
8. Шураков В. В. и др. Автоматизированное рабочее место для статистической обработки данных. - М.: Финансы и статистика, 1990.






