Вы можете услышать, что уровень потребительских цен понизился или повысился. Речь в этом случае идет об индексе цен на потребительские товары. Общее изменение образуется под влиянием изменений цен на отдельные товары. Таким образом, мы имеем ряд отношений:
и т.д.
Эти отношения есть не что иное, как индивидуальные индексы, и сводный индекс представляет собой средний из них:
,
где j - номер товара.
Так как средняя есть показатель центра распределения, то и сводный индекс можно назвать показателем центральной тенденции. Проблема состоит в том, как получить этот сводный индекс. Впервые она возникла при попытке оценить совокупное изменение цен либо в виде отношения сумм цен:
,
либо как среднее из изменений цен на отдельные товары:
(10.1)
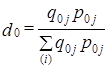
В том и другом варианте представлены невзвешенные средние. Первый вариант исходит из того, что цена рассчитывается за единицу товара, например за 1кг, и сумма цен может рассматриваться как набор слагаемых с равными весами. Однако, этот вариант не отвечает задаче осреднения показателей изменений цен на отдельные товары. Второй 'вариант настораживает тем, что согласно общему правилу средняя из относительных величин должна вычисляться как средняя взвешенная. Действительно, если говорить конкретно об измерении динамики цен на все продовольственные или непродовольственные товары, то ясно, что если цены на ювелирные изделия из золота удвоятся, а цены на хлеб останутся неизменными, это не значит, что в целом цены выросли на 50% ((2+ 1)/2 = 1,5). Приведенный пример показывает, что индекс цен для каждого товара должен сопровождаться неким «весом», который позволяет оценить относительную значимость этого индекса для потребителя. В качестве веса используют удельный вес в общей стоимости покупок: в базисном периоде:
|
|
|

Если обозначить удельный вес отдельных затрат с1ц„ то получим общий индекс цен как средний арифметический взвешенный из индивидуальных индексрв цен:
(10.2)
т.е. Ip = i̅p..
Используя формулу (10.2) можно получить общее изменение цен на продукты по данным табл. 10.1.
Часто можно встретить утверждение, что чем сильнее варьируют веса средней, тем значительнее отличие невзвешенной средней от взвешенной. Покажем ошибочность этого утверждения применительно к индексу среднему из индивидуальных. Рассмотрим два примера А и Б.






