В табл. 10.2 представлены данные примера Б.
Таблица 10.2
| № товара | Цены | Индекс ip | Доля, в базисной выручке d0 | ip· d0 | Вариация долей | ||
| Р0 | Р1 | (dj0 – d0) | (dj0 – d0)2 | ||||
| 1,1 | 0,15 | 0,165 | -0,05 | 0,0025 | |||
| 2,0 | 0,26 | 0,520 | 0,06 | 0.0036 | |||
| 1,4 | 0,19 | 0,266 | -0,01 | 0,0001 | |||
| .4 | 1,6 | 0,25 | 0,400 | 0,05 | 0,0025 | ||
| 0,9 | 0,15 | 0,135 | -0,05 | 0,0025 | |||
| Итого | X | X | 1,4 | 1,00 | 1,486 | 0,0112 |
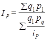
невзвешенный средний индекс цен: 
взвешенный средний индекс цен
;
вариация весов 
vd = 0,2366 или 23,7%, т. е. вариация весов намного слабее, чем в примере А.
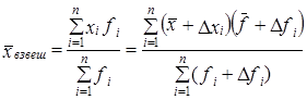
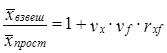
Рассмотрим, в чем секрет таких соотношений? Обратимся к формуле взвешенной средней:

где x̅, f̅ - простые средние;
D х, D f - отклонения от них.
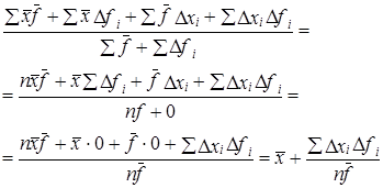
Представим последнее выражение как:

Числитель второго слагаемого можно представить через коэффициент корреляции между х и f:
(10.3)
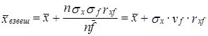
Эта формула аналогична формуле (5.6). Следовательно, средняя взвешенная равна простой средней, если:
• вариация признака х, отсутствует, т. е. s x = 0;
• вариация -весов fi отсутствует, т. е. vf = 0;
• нет корреляции между вариациями признака и весов, т. е. rxf = 0 (хотя бы сами х, и f, варьировали как угодно сильно).
Отношение взвешенной средней и простой можно выразить следующим образом:
(10.4)
Поскольку различие взвешенной и простой средних зависит от корреляции значений признака и веса, постольку оно может оказаться большим при слабой вариации весов, чем при их сильной вариации (см. главу 5).
Рассмотрим соотношения между индексами (10.1) и (10.2) на примере табл. 10.3.
Таблица 10.3
Данные розничной торговли города N
| Выручка в мае | Отноше ние цен в июне к ценам в мае, % ip = p1:p0 | Выручка с учетом изменения цен, млн руб. q0p1=q0p0ip | ||
| абс. млн. руб. | относит. | |||
| q0p0 | d0 | |||
| 5 | ||||
| Мясо и мясопродукты | 2352,0 | 0,271 | 110,5 | 2599,0 |
| Рыба и рыбопродукты | 735,0 | 0,085 | 112,2 | 824,7 |
| Масло животное | 2058,0 | 0,237 | 103,2 | 2123,8 |
| Масло растительное | 9,8 | 0,001 | 105,6 | 10,4 |
| Молоко и молочные продукты | 882,0 | 0,102 | 102,4 | 903,2 |
| Сахар Итого | 2644,0 8680,8 | 0,304 1,000 | 107,3 641,2* | 2837,0 9298.1 |
| * Обычно ip не суммируются |
Обратите внимание на данные гр. 5 табл. 10.3: произведение q0p0ip имеет не просто техническое значение взвешивания индивидуального индекса, но дает определенный содержательный результат -показатель условных затрат на покупку с учетом изменения цен q0 · p0 · ip = q0 · p1
Это дает право представить формулу (10.2) в виде:
(10.5)
Выражение (10.5) получило известность как индекс Ласпейреса, предложившего эту формулу в 1864 г. По данным табл. 10.3

т. е. цены возросли в среднем на 7,1%. Если воспользоваться формулой (10.1), то Ip = 641,2/6 = 1,069 • 100 = 106,9%, т. е. в среднем цены возросли на 6,9%. Отличие от среднего взвешенного арифметического индекса составляет 0,2%.
Мы рассмотрели определение среднего изменения на основе средней арифметической из индивидуальных, но ведь могут использоваться и другие виды средних: средняя геометрическая, средняя гармоническая и т. д. - невзвешенные и взвешенные. Используя среднюю геометрическую невзвешенную, получаем:

Средняя гармоническая всегда дает результат, меньший средней арифметической. Применяя среднюю гармоническую невзвешенную, получаем:

Опять-таки деление единицы на каждый индекс предполагает равное значение изменения цен на товары, что не соответствует практике.
Используя в качестве весов затраты на покупку в отчетном периоде, получаем сводный индекс цен как средний гармонический взвешенный из Индивидуальных индексов цен:
(10.6)
В формуле (10.6) и далее для простоты мы опустили подстрочный значок, соответствующий номеру товара (элемента), хотя, конечно же, суммирование и в числителе, и в знаменателе производится по всему набору товаров (элементов).
Рассчитаем этот индекс по данным табл. 10.3. Кроме того, нам потребуются дополнительные данные. Как всегда, лучшей формой представления цифровых данных является таблица. Представим все необходимые данные в табл. 10.4, используя вместо названий номера продуктов.
Таблица 10.4






