| Субъекты Российской Федерации | Родилось за год | Умерло за год | Отношение доли умерших к доле родившихся | ||
| тыс. чел. | % к РФ | тыс. чел. | % к РФ | ||
| Российская Федерация Москва Московская область Краснодарский край Санкт-Петербург Башкортостан Татарстан Нижегородская область Челябинская область | 1367,3 69,3 47,5 50,5 33,8 45,7 39,3 30,0 33,2 | 5,07 3,47 3,69 2,47 3,34 2,87 2,19 2,43 | 2197,4 146,7 115,8 76,8 76,7 51,6 48.5 65,3 54,5 | 6,68 5,27 3,50 3,49 2,35 2,21 2,87 2,48 | 1,00 1,32 1,52 0,95 1,41 0,70 0,77 1,31 1,02 |
Аналогично можно сравнить доли регионов в сумме средств, перечисляемый ими в федеральный бюджет с долей получаемых из него дотаций и субсидий, долю страны в территории суши с долей добываемых в стране полезных ископаемых. Так, Россия, занимая 10% площади суши Земли, добывает 11,6% нефти, 28,1 природного газа, 13% каменного угля. Это говорит о том, что Россия является мировым донором энергоносителей (а также -алмазов, апатита, калийных солей и других ископаемых). Другой яркий пример сравнения структурных показателей: Москва, имеющая 6,8% населения России, по сумме активов банков и обороту финансовых средств занимает в России около 50%, что говорит о ненормально высокой степени концентрации финансового капитала в столице.
При изучении распределения населения страны по душевому доходу (табл. 11.6) структурный анализ и сравнение структур позволяют раскрыть характер этого распределения, имеющий ключевое значение для понимания социальной структуры общества и социальной политики государства.
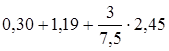
На основе данных табл. 11.6 можно вычислять разные структурные показатели, сравнивать распределение населения с распределением суммы денежных доходов. Выделим, например, 10% населения с наименьшими доходами: две первых группы сверху и три недостающих процента населения из третьей группы, т. е. 3: 7,5 часть ее. Соответственно, возьмем сумму долей доходов dy первой, второй группы и 3: 7,5 от доли доходов третьей группы. Имеем:
доля доходов беднейших 10% населения составила:
=2,47% всех доходов.
Доля доходов 10% наиболее обеспеченных, в число которых входят полностью пять последних групп и еще 1,8: 2,3 часть шестой с конца группы. Соответственно, объединяем доли доходов пяти последних групп и 1,8: 2,3 часть доли доходов шестой с конца группы. Имеем: доля доходов у 10% наиболее обеспеченного населения составляет:
=27,37% всех доходов.
Отношение дохода (или доли в доходе, что то же самое) 10% наиболее обеспеченного населения к доходу (доли) 10% наименее обеспеченных жителей страны является одной из основных характеристик степени неравномерности распределения доходов, важнейшего социально-экономического индикатора. В России в 1995 г. это отношение составило: 27,37: 2,47 = 11,08 раз.
Аналогично можно рассчитать отношение доли доходов у 5% богатейших жителей к доле дохода у 5% беднейших жителей, по данным табл. 11.6 оно составляет: 16,3: 1,014 == 16,1 раза.
Чем более мелкие доли населения «сверху» и «снизу» сравниваются, тем больше величина этого показателя. Если же взять доли доходов у половины беднейшего и более обеспеченного населения, то соотношение по данным табл. 11.6 составляет: 75,46%: 24,54% = 3,07 раза.
К сожалению, группировка Госкомстата РФ не позволяет вычислить соотношение доли доходов у 1% самых богатых к доле доходов у 1% наиболее бедных жителей. Последняя, высшая по доходам группа включает более 3% населения, вчетверо больше, чем предыдущая группа, что нарушает рекомендуемые для группировки, особенно - типологической, правила о постепенном уменьшении численности групп к началу и к концу группировки. Ясно, что социологические исследования требуют особенно подробного изучения доходов как раз у богатейшей части населения, может быть даже с выделением доли процента населения.
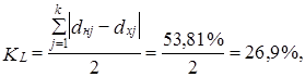
Одним из обобщающих показателей степени неравномерности распределения может служить коэффициент Лоренца:
(11.3)
Таблица 11.6
Анализ* распределения населения России по среднедушевому среднемесячному доходу в 1995 г.**
| Группы по доходу, в мес. на 1 чел. | Млн чел. • fj | Доля насе ления dнj < | Середина интервала x¢j тыс. руб. на 1 чел. | Общая сумма доходов по группе xj∙ fj млрд руб. | Доля доходов dxj % | Модуль разности долей ldнj-dxj|, % | Нарастающая доля населения d'нj % | Нарастающая доля одов d¢чя | |
| факт. | d¢xj=(d'нj)B | ||||||||
| до 100 100,1-150 150.1-200 200.1-250 250,1-300 300.1-350 350.1-400 400,1-^50 450.1-500 500,1-600 600,1-700 700,1-800 800.1-900 900.1-1000 1000.1-1100 1100,1-1200 1200.1-1300 1300.1-1400 1400.1-1500 Более 1500 | 2.9 7.5 11,0 12.6 12.9 12.2 11,2 10,0 8.8 14.3 10,7 8,0 6,0 4.5 3,4 2.6 2.0.1.5 1,2 4,9 | 2.0 5.0 7,5 8.5 8.7 8,2 7.5 6,8 5.9 9,7 7.2 5.4 4.1 3,0 2.3 1.7 1,3 1,0 0.8 3,4 | 1450 1926** | 0.30 1.19 2.45 3.61 4,54 5,05 5,35 5,41 5.32 10.02 8,86 7,64 6.49 5.44 4.55 3.81 3.18 2.58 2.22 12,02 | 1,70 3,81 5,05 4,89 4,18 3,15 2.15 1,39 0.58 0,32 1.64 2,24 2.39 2.44 2.25 2.11 1.88 1,58 1,42 8,62 | 2.0 7,0 14.5 23.0 31.7 39,9 47,4 54.2 60.1 69.8 77,0 82.4 86.5 89.5 91.8 93,5 94,8 95.8 96.6 | 0.003 0.015 0,039 0.075 0.120 0,170 0.224 0.278 0.331 0.431 0,520 0.596 0.661 0.715 0.761 0.799 0,831 0.857 0.880 1,000 | 0.000 0.000 0,003 0.012 0.032 0,064 0,107 0,159 0,217 0.340 0,457 0,560 0,647 0.717 0.774 0,817 0,852 0.879 0,901 | |
| Итого | 148,2 | 53,81 | - | . - | - | ||||
| *Источник: Роcсия в цифрах. 1966: Крат.стат.ежегодник. – М., Финансы и статистика, 1996. – С. 54. ** Средний денежный доход был равен 530 тыс.руб. на 1 человека в месяц: сумма месячных доходов 78 530 млр руб. Исходя из этой суммы определен средний месячный доход на й человека в последней группе. |
В нашем примере (КL) равен полусумме модулей разности долей населения и долей доходов и составляет:

где dxj - доля j -й группы в объеме признака х;
dyj - доля j -й группы в численности совокупности.
Знаменатель коэффициента - это максимально возможная величина суммы модулей разности долей.
Доля доходов dx.

По нарастающей доле населения и нарастающей доле доходов можно построить диаграмму Лоренца (рис. 11.1). В ней по оси абсцисс откладывается кумулятивная доля населения dн, а по оси ординат - кумулятивная доля доходов dх Соединив точки ломаной линией, получим график, отражающий степень неравномерности распределения доходов. При строго равномерном распределении («абсолютной уравниловке») доли dх и dн совпали бы, а ломаная линия обратилась в диагональ квадрата, которая и названа на графике «линией равномерного распределения». Чем дальше от диагонали в направлении к правому нижнему углу находится фактическая линия (ломаная), тем значительнее неравномерность распределения. Можно попытаться подобрать теоретическую кривую, достаточно близко проходящую к фактической ломаной. Не осложняя изложения, приводим простейшую из таких функций: d'х = (d'н)3. Как видим, она хорошо отражает распределение доходов для более обеспеченной половины населения, а доходы менее обеспеченной половины выше, чем согласно кубической функции распределения. Для пяти беднейших групп даже выше квадратической функции. В этом сказывается социальная политика государства (общества), защищающая уровень жизни детей, пенсионеров, инвалидов, безработных.
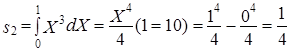
Отношение площади между линией равномерного распределения и линией фактического распределения ко всей площади под линией равномерного распределения, принятой за единицу, также является одним из показателей неравномерности распределения. Без вычисления ясно, что площадь под линией равномерного распределения равна половине площади квадрата, т. е. 0,5 в принятом масштабе, где и dн и dх изменяются от 0 до +1. Если точное выражение функции dх через dн неизвестно вычислить площадь под фактической кривой нельзя, а измерить на диаграмме тоже сложно. Зато мы можем легко вычислить площадь под приближенной функцией d'x = (d'н)3, которая выразится как определенный интеграл этой функции, если d'н обозначить X:
.
Площадь под фактической кривой распределения больше, чем 1/4, следовательно s1 < 1/4, и показатель неравномерности меньше, чем 0,5. Площадь между фактической и кубической кривыми раза в 3-4 меньше S1, тогда коэффициент неравномерности составляет приблизительно от 0,5 - 0,5: 3 до 0,5 - 0,5: 4 или от 0,33 до 0,375.






