Методы и показатели анализа структуры используются при изучении таких важных экономических процессов, как концентрация производства, специализация предприятий или отраслей, диверсификация капитала, степень монополизации рынка и др.
В гл. 5 рассмотрены показатели специализации предприятий региона, зоны, основанные на измерении вариации объемов производства или долей предприятий, а также отношения фактических мер вариации к предельно возможным при данной численности совокупности. В предыдущем параграфе данной главы рассмотрены показатели концентрации объема признака, основанные на неравномерности его распределения между единицами совокупности. Но эти характеристики не исчерпывают проблемы. Даже равномерное распределение производства, скажем, автомобилей в стране, где всего три предприятия, производящих по 33,3% всего выпуска автомашин, говорит о высокой степени концентрации в данной отрасли, и вероятности его монополизации, для устранения конкуренции и получения монопольной прибыли. Следовательно, показатель концентрации должен учитывать две величины: численность совокупности и степень неравномерности распределения признака между ее единицами. Рассмотрим методику конструирования показателя по заданным его свойствам.
Проще построить показатель, учитывающий численность совокупности и быстро убывающий, как убывает степень концентрации и вероятность монополизации, с ростом числа производителей п. Можно эту составляющую желаемого показателя представить например, как величину, обратную числу единиц совокупности, т. е. 1: п. При одном предприятии имеем абсолютный максимум, равный единице; при п = 2, п = 3, п = 4 доля все еще довольно значительна, но при большом п (большом числе производителей товара или услуг) эта составляющая уже становится несущественно малой и главное значение приобретает вторая составляющая - степень неравномерности распределения объема признака между единицами совокупности. Чтобы построить показатель, рассмотрим, как зависит от степени неравномерности распределения признака сумма накопленных долей объема признака
при условии, что изучаемая совокупность проранжирована в порядке нарастания долей объема признака.
При этом условии минимальная сумма накопленных долей будет в том случае, когда доли всех единиц совокупности кроме последней, равны нулю, а доля последней («монополиста») равна единице. Сумма накопленных долей тоже равна единице. Итак,
= 1.
Найдем теперь выражение для максимума этой суммы, которая, согласно условию ранжирования, образуется при строгом равенстве всех долей, каждая из которых будет равна 1: п.
Нарастающие доли будут 1: п, 2: п, 3: п, и т. д. до п: п, а их сумма, как сумма членов арифметической прогрессии, выражается как: (1: п) (1 + 2 +... + п) = (1: п)(п2 + п): 2 = (п + 1): 2. Чем дальше отстоит фактическая сумма накопленных долей от максимальной величины, тем сильнее неравномерность распределения. Следовательно, в числителе должны стоять величины:
. Чтобы измерить степень отклонения от равномерности распределения, нужно сравнить меру фактической неравномерности с максимально возможной, равной разности между максимально возможной суммой накопленных долей и минимальной их суммой, равной единице. Следовательно, знаменатель должен иметь вид:
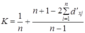
[ (п + 1): 2] - 1 = (n + 1 - 2): 2 = (п - 1): 2. Итак, показатель степени концентрации за счет неравномерности распределения имеет форму:
(11.4)
Теперь, объединяем обе составляющие и получаем окончательный показатель степени концентрации объема признака в совокупности, состоящей из п единиц, проранжированных в порядке возрастания объема признака или доли его у данной единицы в общем объеме признака в совокупности. Обозначим его К:
(11.5)
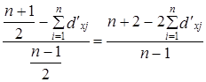
Можно произвести преобразование этой формулы, но по нашему мнению, лучше сохранить выражения обеих составляющих частей, чтобы их разная природа оставалась явной для пользователя. Остается выяснить свойства предлагаемого показателя концентрации и меры возможности монополизации рынка. При единственном монополисте: п = 1, первое слагаемое будет равно единице, второе -нулю. В итоге весь коэффициент равен единице. При п = 2 и равномерном распределении объема признака

При сосредоточении всего объема признака у второго предприятия

Эта величина показателя К максимальная из возможных. При росте п первое слагаемое уменьшается и при п ® ¥ стремится к нулю. Второе слагаемое при концентрации всего производства у одного предприятия всегда остается равной единице, значит, при абсолютной концентрации К ® 1 при п ®¥. При полной равномерности, когда второе слагаемое равно нулю, имеем: К ® 0 при n ® ¥, как и должно быть логически., При реальных значениях распределений объема признака между единицами совокупности получаем промежуточные значения между [(1: п) + 1] и 1: п. Рассмотрим, например, распределение производителей грузовых автомашин в России в 1994 г. (табл. 11.7).
Таблица 11.7
Концентрация производства грузовых автомашин, в РФ 1994 г.*
| Производитель | Выпуск, штук | Доля к итогу dxj | Накопленная доля Sdxj |
| Урал A3 АО АО «Авто УАЗ» АО «КамАЗ» АМО «ЗИЛ» АО «ГАЗ» | 0,0885 0,1232 0,1633 0,1674 0,4576 | 0,0885 0,2117 0,3750 0,5424 1,0000 | |
| Итого | 1,000000 | 2,2176 | |
| * Источник: Теория статистики/Под ред. Р.А.Шмойловой. – М.: Финансы и статистика, 1996. – С. 373. |
Показатель степени концентрации производства грузовых автомобилей в РФ в 1994 г. составил:

Величина показателя указывает на значительную, хотя,и не очень высокую, степень концентрации, большая часть которой следует из неравномерности распределения производства между фирмами. Опасность монополизации невелика. По-существу, она еще меньше, ибо грузовые автомашины разных фирм не вполне однородны, и нельзя рассматривать, как взаимозаменяющие товары. Из последнего замечания следует, что при экономической оценке величины концентрации и возможностей монополизации нельзя принимать в расчет только величину какого-то показателя, но надо проверить, насколько однородным является сам объемный признак, распределение которого изучается.
Даже хлеб, мясо и другие подобные товары на самом деле неоднородны по сортам, видам и т. п. Чем разнообразнее ассортимент товара, тем меньше, при прочих равных условиях, возможность монополизации производства. Качественная вариация, как и количественная вариация долей, облегчает конкуренцию.
Рассмотрим, измерение степени специализации привлекая методику многомерной характеристики структуры. Как известно, основным показателем специализации экономики считаются доли разных товаров, или их групп, или отраслей в общем объеме реализации продукции и услуг. Однако, нельзя игнорировать также структуру затрат труда, материалов, а в сельском хозяйстве - структуру использованных земельных ресурсов и т. д. Поэтому, более обоснованное суждение о специализации предприятия или региона можно получить с помощью многомерных показателей структуры, полученных тем или иным способом. В качестве примера рассмотрим показатели специализации в растениеводстве АПК Вологодской области (табл. 11.8).
Как видим, в стоимости продукции лен занимает первое место. При одномерной характеристике специализации только на основе стоимости продукции надо было бы считать область льноводческой и кормодобывающей. Но нельзя игнорировать, что зерновые занимают более 50% в материальных затратах и первое место (почти половину) в затратах труда, а также и то, что лен занимает лишь 1,5% площади посева.
Построим многомерные показатели структуры, тремя способами. Первый - с помощью простой арифметической средней величины долей. Очевидно, при этом полагаем все четыре признака структуры равноправными, что, конечно, является упрощением реальности. Второй способ состоит в вычислении взвешенных средних долей. При этом весами служат экспертные оценки сравнительной важности признаков специализации. Предположим, что наименее ценному признаку - доле в площади, присвоен балл 1, в затратах труда - балл 2, в материальных затратах - балл 3, наиболее ценному признаку - стоимости продукции - балл 5. Тогда можно рассчитать взвешенные по баллам средние доли. Они приведены в предпоследней графе табл. 11.8. Теперь, растениеводство надо признать специализированным на кормодобывании и зерновом производстве, но существенную роль играет и льноводство.
Таблица 11.8






