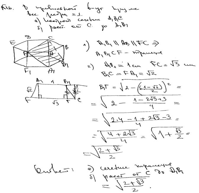
В правильной шестиугольной призме
все рёбра равны 1.
а) Постройте сечение призмы плоскостью, проходящей через точки
и
.
б) Найдите расстояние от точки С до прямой
.
Ответ: а) трапеция
; б)
.

В правильной шестиугольной призме
все рёбра равны 1.
а) Постройте сечение призмы плоскостью, проходящей через точки
и
.
б) Найдите расстояние от точки С до прямой
.
Ответ: а) трапеция
; б)
.

|
|