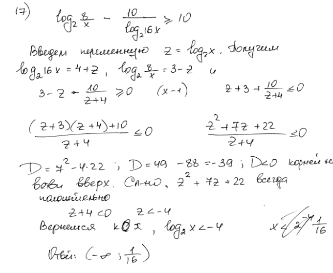
Решите неравенство
. Ответ:
.

Критерии выставления 1 балла.
«Обоснованно получен ответ, отличающийся от верного ответа исключением точек х = 0,25 и/или х = 2; ИЛИ
получен неверный ответ из-за вычислительной ошибки, но при этом имеется верная последовательность всех шагов решения».






