Закон Ома для полной цепи.
Сила тока в полной цепи равна отношению электродвижущей силы источника к сумме сопротивлений внешнего и внутреннего участка цепи.

где R - электрическое сопротивление внешнего участка цепи, r - электрическое сопротивление внутреннего участка цепи.
Правила Кирхгофа.
Узел - точка разветвленной цепи, в которой сходится более двух проводников.
1 правило Кирхгофа: алгебраическая сумма сил токов, сходящихся в узле, равна нулю;

где n - число проводников, сходящихся в узле, Ii - сила тока в проводнике.
токи, входящие в узел считают положительными, токи, отходящие из узла - отрицательными.
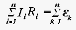
2 правило Кирхгофа: в любом произвольно выбранном замкнутом контуре разветвленной цепи алгебраическая сумма произведений сил токов и сопротивлений каждого из участков этого контура равна алгебраической сумме ЭДС в контуре.

Чтобы учесть знаки сил токов и ЭДС выбирается определенное направление обхода контура(по часовой стрелке или против нее). Положительными считают токи, направление которых совпадает с направлением обхода контура, отрицательными считают токи противоположного направления. ЭДС источников электрической энергии считают положительными если они создают токи, направление которых совпадает с направлением обхода контура, в противном случае - отрицательными.
|
|
|






