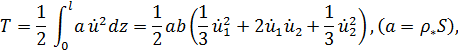
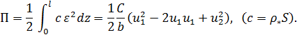
Найдем матрицы инерции и жесткости для элемента первого порядка длиной
Имеем 



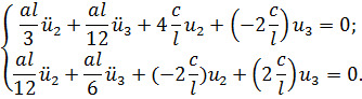
Разобьем стержень длиной
на два элемента длиной
(рис. 7.13,в) и, складывая кинетические и потенциальные энергии элементов, с учетом выполнения
получим:

Уравнения Лагранжа имеют вид:

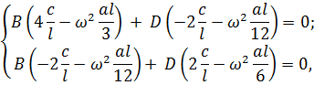
Отыскивая решение в виде
получим:

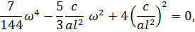
и, приравнивая нулю определитель, получим частотное уравнение:

откуда
, 
Точные значения собственных частот равны:
.
Первая собственная частота превышает точную на
вторая
.
Заметим, что превышение приближенных значений собственных частот над точными значениями неслучайно – при использовании в приближенном решении аппроксимации перемещений система с бесконечным числом степеней свободы всегда «мягче» построенных дискретизацией расчетных моделей.






