|
|
|
|
|
|
|
| C |
| D |
|
|
| • С |
|
В двигателях внутреннего сгорания используются гасители, собственная частота которых изменяется автоматически при изменении угловой скорости вращения.
Диск (маховик) на валу двигателя, вращающегося с рабочей угловой скоростью
, совершает крутильные колебания, причина которых моделируется действующими на него со стороны вала моментами
, где частота воздействия в силу конструктивных особенностей двигателя является величиной, кратной рабочей частоте:
.
Подвесим маятник (2) с помощью роликов (1) на диск на валу двигателя. Радиусы роликов
меньше радиусов
отверстий в маятнике.
Составим уравнения Лагранжа, выбрав в качестве обобщенных координат угол поворота диска
и угол
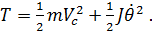
, задающий относительное положение маятника. Угловая скорость маятника равна угловой скорости диска, поскольку маятник движется поступательно относительно диска. Кинетическая энергия

Скорость найдем по как сумму переносной
и относительной
|
|
|
скоростей: 
Поскольку целью является получение уравнений малых колебаний, т.е. линейных уравнений, то следует принять
(углы
и
одного порядка малости),


.
Кинетическая энергия
.
Вычисляя
,
,
,
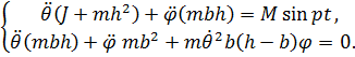
получим систему

При постоянной угловой скорости
, второе уравнение описывает свободные колебания маятника в поле центробежных сил:
где квадрат собственной частоты
.
В приведенной в книге [5] формуле вместо величины
стоит удвоенная величина
.
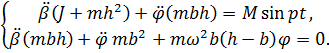
Положим теперь
и, удерживая только линейные относительно
и
слагаемые, получим

Отыскивая частное решение в виде
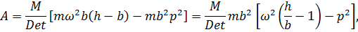
, получим систему

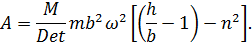
откуда найдем амплитуду колебаний диска

или, учитывая кратность
,

Таким образом, видим, что независимо от угловой скорости вращения, можем настроить гаситель на «
» гармонику возмущающего момента, выбрав его размеры так, чтобы
.






