| Рис. 7.12. Консольный стержень |
| x |
| z |
| y |
, где
масса единицы длины стержня (погонная масса),
трехмерная плотность,
площадь сечения,
проекция на ось
перемещений точек оси стержня.
Потенциальная энергия
где
изгибная жесткость,
модуль Юнга,
момент инерции сечения относительно оси x. Введя безразмерные прогиб
и координату
;
, получим
,
где
.
Полагая в методе Рэлея
, где функция
при
удовлетворяет условиям жесткой заделки:
, получим
.
Уравнение колебаний имеет вид:
где
; таким образом, частота колебаний
.
Этот результат на
отличается от приведенного в [9] точного, полученного Кирхгофом значения
.
Для уточнения полученного результата примем
Кинетическая и потенциальная энергии примут вид:
,
где обозначено
. Отношение
обозначим для удобства
.
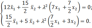
Уравнения Лагранжа имеют вид:

Отыскивая решение в виде
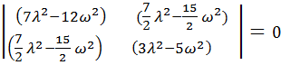
, получим частотное уравнение:
или
15
,
откуда низшая частота
, что только на
превышает точное значение.






