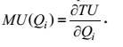
Максимум удовлетворения достигается в точке В, когда предельная полезность становится = 0. Это означает, что благо полностью удовлетворяет потребность. Математически предельная полезность товара есть частная производная общей полезности товарного набора по объему потребления i-ого товара:

Геометрически (рис 7.1.а) значение предельной полезности = тангенсу угла наклона касательной к кривой TU в точке С. С увеличением объема потребления товара угол наклона этой касательной уменьшается и, следовательно, понижается предельная полезность товара. Если дальнейшее потребление блага приносит вред (предельная полезность блага отрицательная), то общая полезность снижается.
Закон убывающей предельной полезности не всегда проявляется, как это показано на рисунке 7.1.а. Во многих случаях предельная полезность последующих единиц блага сначала увеличивается, достигает максимума и лишь, затем начинает снижаться. Такая зависимость характерна для небольших порций делимых благ. Например, в жаркую погоду второй глоток прохладительного напитка может принести большую полезность, чем первый, а третий – большую, чем второй (рис. 7.1.б). И все же можно утверждать, что 2ая 2литровая бутылка напитка не принесет ему большего удовлетворения, чем первая.
Этот пример говорит о том, что потребитель готов приобретать дополнительные единицы блага только в том случае, если они будут продаваться по более низким ценам, чем прежде (вторую бутылку вы можете купить в запас если цена будет минимальна). Это объясняется тем, что они приносят ему меньшее удовлетворение, чем единицы, приобретаемые раньше, т. е. обладают снижающейся предельной полезностью. Соответственно если цена будет расти, то потребитель станет сокращать потребление, отказываясь постепенно от тех единиц блага, которые приносят ему меньшее удовлетворение. Следовательно, закон обратной зависимости величины спроса от цены (закон спроса) вытекает из закона убывающей предельной полезности.
Таким образом, принятие решений в условиях альтернативного выбора осуществляется потребителем под влиянием действия закона убывающей предельной полезности. Расходование потребителем дохода на покупку благ представляет собой своеобразный обмен предельной полезности денежных единиц на предельную полезность благ.
Предложим, что потребитель располагает некоторым доходом; цены на товары a, b, …, n не зависят от его поведения и равны соответственно Pa, Pb, …, Pn; товарного дефицита нет, все товары являются бесконечно делимыми (например, масло, колбаса и др.).







