устанавливает связь между подвижностью m носителей заряда е и их коэф. диффузии D: 
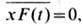
Э. <с. написано в 1905 при построении теории броуновского движения А. Эйнштейном и M. Смолуховским(M. Smoluchowski). Ур-ние движения для частицы массы /и имеет вид
где g - коэф. трения, F(t)- случайная сила. Помножив (2) на.Y и усреднив по частицам, учитывая, что
а
' (принцип равногораспределения энергии по всем степеням свободы), получаем ур-ние
Интегрируя ур-ние (3) дважды, при
находим, что при
и, сравнивая сопределением коэф. диффузии
приходим к выражению D =
Учитывая, что
получаем (1). Э. <с. справедливо для классич. систем, находящихся в термодинамич. равновесии. Дляквантовых систем взаимодействующих частиц вместо (1) следует написать
где
. флуктуация плотности числа частиц, а
-симметричные компоненты тензоров проводимости и коэф. диффузии. Э. с. являетсяисторически первым примером флуктуационно-диссипативного соотношения
29. Уравнение непрерывности (вывод).
Представим себе, в некоторой проводящей среде, где течет ток, замкнутую поверхность S. Для замкнутых поверхностей векторы нормалей, а следовательно, и векторы
принято брать наружу, поэтому интеграл
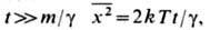
дает заряд, выходящий в единицу времени наружу из объема V, охваченного поверхностью S. Мы знаем, что плотность постоянного электрического тока одинакова по всему поперечному сечению S однородного проводника. Поэтому для постоянного тока в однородном проводнике с поперечным сечением S сила тока:
| (7.3.1) |
Из (7.3.1) и постоянства значения I во всех участках цепи постоянного тока следует, что плотности постоянного тока в различных поперечных сечениях 1 и 2 цепи обратно пропорциональны площадям
и
этих сечений (рис. 7.2):
. | (7.3.2) |

Рис. 7.2
Пусть S – замкнутая поверхность, а векторы
всюду проведены по внешним нормалям
. Тогда поток вектора
сквозь эту поверхность S равен электрическому току I, идущему вовне из области, ограниченный замкнутой поверхностью S. Следовательно, согласно закону сохранения электрического заряда, суммарный электрический заряд q, охватываемый поверхностью S, изменяется за время
на
, тогда в интегральной форме можно записать:
. | (7.3.3) |
Это соотношение называется уравнением непрерывности. Оно является, по существу, выражением закона сохранения электрического заряда.
Дифференциальная форма записи уравнения непрерывности записывается так:
или | (7.3.4) |
В случае постоянного тока, распределение зарядов в пространстве должно оставаться неизменным:

следовательно,
| (7.3.5) |
это уравнение непрерывности для постоянного тока (в интегральной форме).
Линии
в этом случае нигде не начинаются и нигде не заканчиваются. Поле вектора
не имеет источника. В дифференциальной форме уравнение непрерывности для постоянного тока
.
Если ток постоянный, то избыточный заряд внутри однородного проводника всюду равен нулю. В самом деле, т.к. для постоянного тока справедливо уравнение
, то

Избыточный заряд может появиться только на поверхности проводника в местах соприкосновения с другими проводниками, а также там, где проводник имеет неоднородности.
.
.
или






