Идентификации формы закона распределения погрешностей.
Наиболее простой вариант - гистрограммы. Для их построения выделяют Xmin и Xmax, диапазон распределяют на m периодов протяженностью d. Определяют частоту попадания параметра в соответствующий столбец.
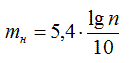
Оптимальное число периодов m - находится в диапазоне

Обработка результатов, содержащих грубые погрешности.
Аномальные результаты могут быть проявлением случайного характера погрешностей или особенностей измеряемой величины. Результаты таких измерений также следует сохранить для последующей обработки.
На практике, при использовании сложной измерительной аппаратуры число аномальных результатов может достигать 10-15%.






