РЕЛЕЙНАЯ ЗАЩИТА
И АВТОМАТИЗАЦИЯ СИСТЕМ ЭЛЕКТРОСНАБЖЕНИЯ
Методические указания к дипломному и курсовому проектированию
Новочеркасск 2011
Составители: Ю.И.Иванков, С.Л.Кужеков, В.В.Михайлов, А.Ю.Иванков
Методические указания по проектированию релейной защиты и автоматики систем электроснабжения рассмотрены и одобрены на заседании кафедры ЭППиГ протокол №
Рассмотрены вопросы проектирования РЗА трансформаторов ГПП, линий 6-10 кВ, АВР секций сборных шин.
Методические указания предназначены для использования при курсовом и дипломном проектировании для всех форм обучения специальности 14021165 «Электроснабжение».
© Южно-Российский государственный технический университет, 2011
ЗАДАНИЕ НА КУРСОВОЙ ПРОЕКТ
Для студентов ЭнФ и ФОДО
Разработать защиту силового трансформатора Т1(Т2) главной понизительной подстанции ГПП промышленного предприятия, защиту отходящих ЛЭП 6-10 кВ, АВР секционного выключателя.
Задание выполнить в следующем объёме:
Пояснительная записка.
|
|
|
1.1. Рассчитать токи короткого замыкания (КЗ) в объёме, необходимом для выбора уставок и проверки чувствительности разрабатываемых защит.
1.2. Выбрать места установки и типы релейной защиты.
1.3. Выбрать типы трансформаторов тока, определить уставки защиты, проверить чувствительность, выбрать типы реле защиты.
1.4. Разработать схему АВР секционного выключателя (Q5 рис. 1, рис 3; Q7 или Q8 рис. 2,4), составить принципиальную схему АВР, выбрать типы реле защиты.
1.5. Описать порядок работы релейной защиты и автоматики разработанного варианта.
Графическая часть.
На листах формата А1 выполнить принципиальную электрическую схему релейной защиты силового трансформатора ГПП:
2.1 с реле ДЗТ-11;
2.2 с терминалом «Сириус-Т»
Схемы РЗ отходящих ЛЭП 6-10 кВ от шин ГПП и АВР секционного выключателя приводятся в пояснительной записке.
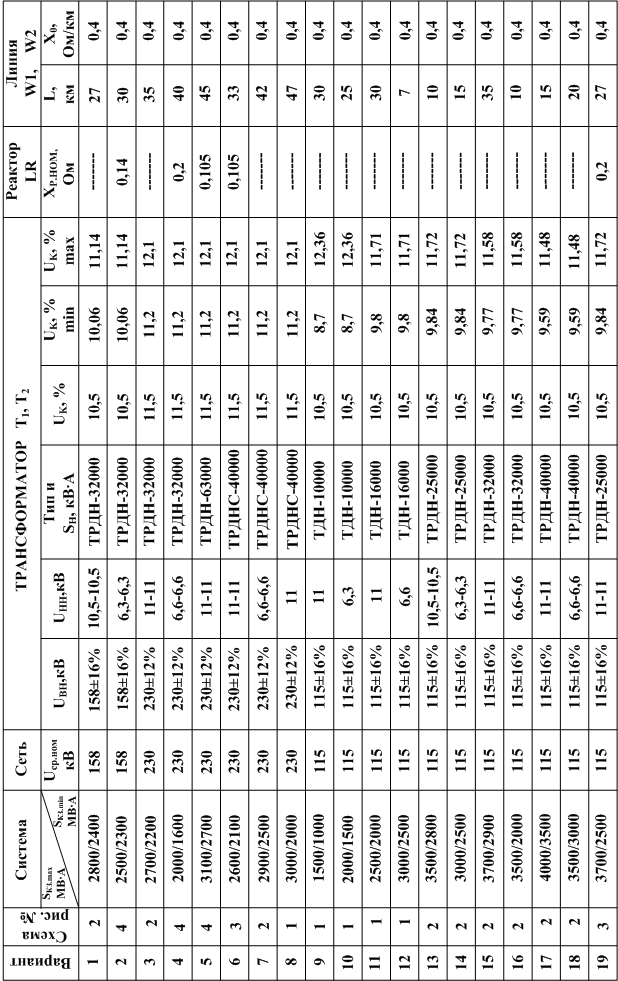
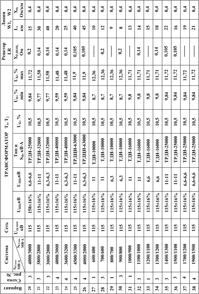
Варианты заданий приведены в таблице 1. Принципиальные электрические схемы ГПП представлены на рисунках 1-4.
РАСЧЁТ ТОКОВ КОРОТКОГО ЗАМЫКАНИЯ.
Расчёты производятся для начального момента времени (t = 0) периодической слагающей токов КЗ. Затухание токов в процессе КЗ не учитывается.
В курсовом проекте определяют только токи трёхфазных К(3) и двухфазных К(2) коротких замыканий в максимальном и минимальном режимах работы питающей электроэнергетической системы.
Расчёты токов КЗ рекомендуется выполнять в именованных единицах, выражая сопротивления схемы замещения в Омах. Кроме того, расчёты токов КЗ производят с учётом общепринятых допущений [1].
Варианты заданий для курсового проектирования приведены в таблице 1.









