[σ]H=[σ]Ho - 25∙Vск, МПа,
где [σ]Ho=300 МПа для червяков с твёрдостью на поверхности витков
Н ≥ 45HRC, [ σ]Ho=250 МПа для червяков при твёрдости Н ≤ 350 НВ.
[σ]H = _____ - 25∙_____ = _____ МПа.
Для материалов группы III допускаемые контактные напряжения
[σ]H =175 - 35∙Vск, МПа.
[σ]H =175 - 35∙____ = ______ МПа.
8.4 Определение допускаемых напряжений изгиба для материала зубьев червячного колеса
Для материалов группы I и группы II допускаемые напряжения изгиба определяются по формуле
,
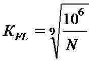
где КFL – коэффициент долговечности при расчете на изгиб,
,
где N – число циклов нагружения зубьев червячного колеса за весь срок службы передачи. Если N> 25∙107, то принимают N= 25∙107. Если
N< 106, то принимают N= 106.

σВ – предел прочности при растяжении (см. таблицу 8.1),
σВ = _____ МПа;
σТ – предел текучести (см. таблицу 8.1), σТ = _____ МПа.







