Автомобиль как транспортное средство и «устройство, предназначенное для перевозки по дорогам людей, грузов или оборудования, установленного на нем» [1, с.2], традиционно считают «источником повышенной опасности» [2, с.84]. Однако этот источник угрозы для жизни и здоровья водителю, пассажирам и пешеходам может обладать конструктивной безопасностью – активной, пассивной, послеаварийной и экологической [3, с.7].
Автомобиль как потенциальный источник опасности может обладать «цепью» свойств – надежностью, живучестью, безопасностью и безаварийностью. Все эти свойства отдельного автомобиля и автопарка можно измерять долями единицы, подобными общетехническому коэффициенту полезного действия (КПД) η, имеющему интервалы 0≤ η ≤ 1 и задающему цель инженерного поиска: η→1.
Топливную экономичность автомобиля, измеряемую по ГОСТ 20306-85 расходом топлива в литрах на 100 км, тоже можно измерять долями единицы и определять как свойство (объективную особенность, способность) автомобиля работать с наибольшим КПД в условиях нормальной и реальной эксплуатации.
Поскольку автомобиль является наземным транспортным средством и предназначен для перевозки в собственной снаряженной массе mо суммы масс водителя, пассажиров, грузов или установленного специального оборудования
mг = γ q (3.1)
с мгновенной действительной, а не расчетной (теоретической υт) скоростью
(3.2)
по разным дорогам, улицам и опорным поверхностям, характеризуемым приведенным коэффициентом дорожных сопротивлений
ψ = f cos α ± sin α ≈ f ± I (3.3)
и коэффициентом сцепления
, (3.4)
то эти показатели (количественные характеристики) назначения и условий движения автомобиля можно и целесообразно синтезировать в формулах (символизированных определениях) полезной мощности автомобиля
Nmr = mг υa (ψ g ± j), (3.5)
полезной (транспортной) работы автомобиля
, (3.6)
коэффициента полезного действия (КПД) автомобиля
, (3.7)
часового расхода топлива автомобилем
(3.8)
и транспортной производительности автомобиля
, (3.9)
где mo и mа – соответственно собственная снаряженная и полная масса автомобиля, т;
mг – полезная масса (водителя, пассажиров, грузов или специального оборудования), т;
q – грузоподъемность автомобиля, заданная заводом – изготовителем, т;
f – коэффициент сопротивления качению;
α – угол подъема (спуска), рад.;
γ – коэффициент использования грузоподъемности;
rк – радиус качения ведущих колес, м;
uтр – передаточное отношение трансмиссии;
n – частота вращения колесного вала двигателя, об/мин;
i – относительный подъем (+) или спуск (-) дороги, улицы или иной опорной поверхности; при малых значениях
i ≈ sin α ≈ tg α ≈ α;
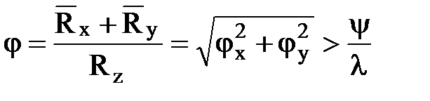
λ – коэффициент нормальной нагрузки ведущих колес; у полноприводного автомобиля λ = 1;
Rх, Rу и Rz – соответственно продольная, боковая и нормальная реакции опорной поверхности на колесо, кН;
φх и φу – соответственно коэффициенты продольного и бокового сцепления шин с опорной поверхностью в интервале
0,05 ≤ φ ≤ 0,85;
g – ускорение свободного падения; g = 9,8 м/с2;
j – ускорение (+) или замедление (-) автомобиля, м/с2;
δ – коэффициент буксования ведущих колес, имеющий интервал 0 ≤ δ ≤1;
L – пробег автомобиля, км;
β – коэффициент использования пробега;
Nе – эффективная мощность двигателя, кВт;
ηе – эффективный КПД двигателя;
Gт – часовой расход топлива, кг/ч;
Н и – низшая теплота сгорания топлива;
Н и ≈ 42,5 МДж/кг – дизельное топливо;
Н и ≈ 44 МДж/кг – автомобильный бензин;
Отсутствие в формулах (5) - (9) аэродинамических сопротивлений движению, а также инерции вращающихся масс обусловлено тем, что конструкция большинства автомобилей должна обеспечивать защиту водителя, пассажиров и грузов от атмосферных воздействий и должна быть приспособлена к движению с любой полезной массой mв≤mг≤γq, как правило, не вращаемой.
Поскольку масса водителя mв в собственную массу снаряженного автомобиля mо не входит и является условно полезной, то минимальные значения полезной мощности Nа, КПД ηа и транспортной производительности автомобиля Wа при mг = mв не имеют нулевых значений и позволяют определить часовой расход топлива порожним автомобилем
. (3.10)
Себестоимость мегаджоуля полезной работы автомобиля целесообразно разделить на четыре слагаемых:
, (3.11)
где Са – себестоимость полезной физической работы автомобиля,
руб/МДж;
Цтм – комплексная цена топлива и сгорающего вместе с ним моторного масла, руб/л;
ρт – плотность топлива, кг/л;
Ба – балансовая стоимость автомобиля, руб.;
а – суммарный коэффициент нормативных отчислений или реальных затрат на техническое обслуживание (ТО), текущий (ТР) и капитальный (КР) ремонты, реновацию, налоги, страхование; а ~ 0,4;
Зот – затраты на оплату труда водителей, руб;
Па – потери дохода и затраты, обусловленные аварийной дефективностью автомобиля, в том числе возмещением материального ущерба и компенсацией морального вреда участникам ДТП, руб.
Первое слагаемое формулы (3.11) характеризует топливную экономичность автомобиля как его приспособленность к перевозкам с наименьшими затратами на топливо и работе с наибольшим КПД
(3.12)
или
, (3.13)
определимом экспериментально на стенде с беговыми барабанами. Сама же себестоимость Са может характеризовать качество системы ВАДС (водитель-автомобиль-дорога-среда).






